Официальное опубликование правовых актов
ОФИЦИАЛЬНОЕ ОПУБЛИКОВАНИЕ
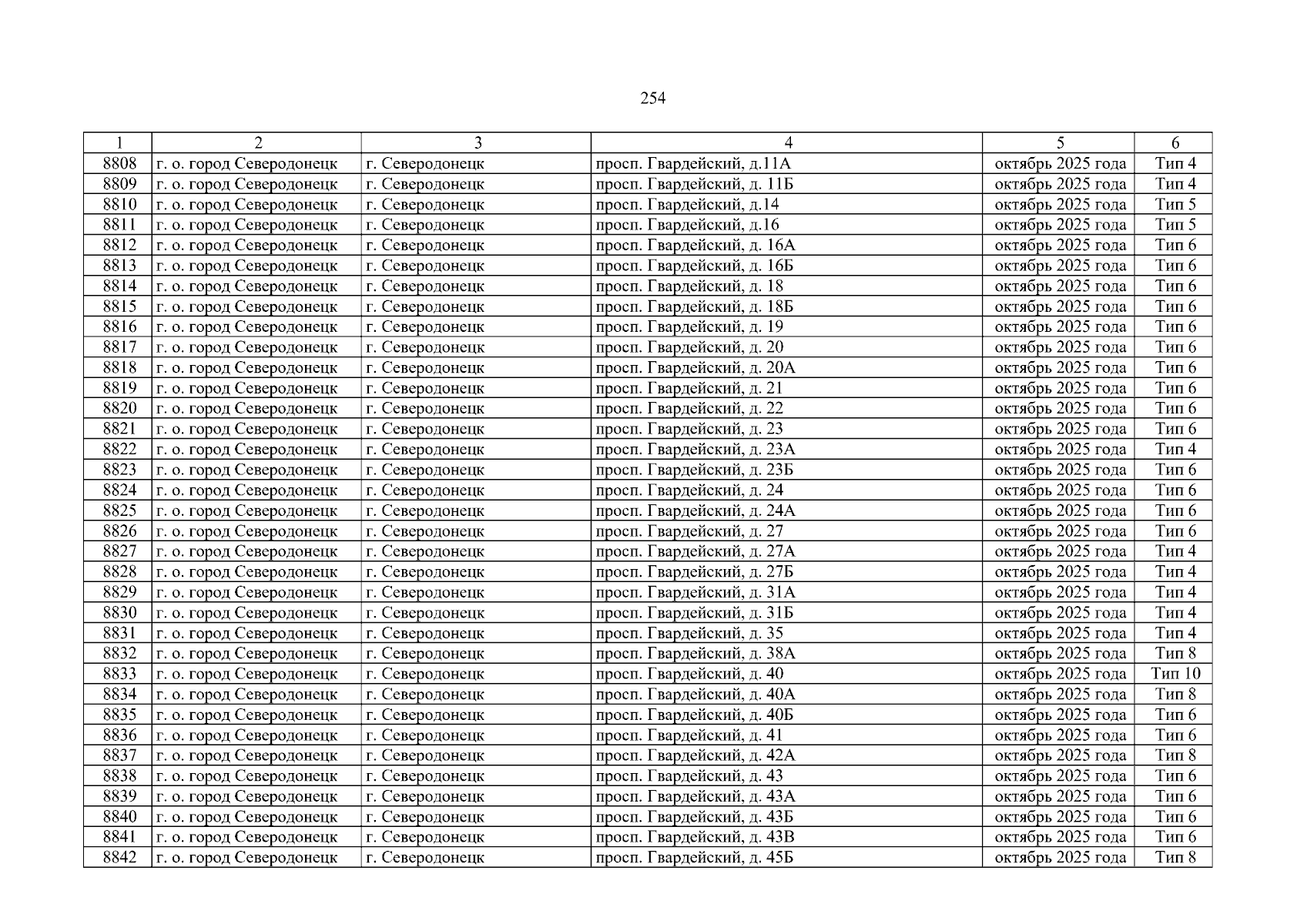
Постановление Правительства Луганской Народной Республики от 15.08.2025 № 157/25
"О внесении изменения в постановление Правительства Луганской Народной Республики от 27.12.2024 № 320/24 "О некоторых вопросах деятельности некоммерческой организации "Единый региональный фонд по управлению многоквартирными домами на территории Луганской Народной Республики"
Номер опубликования: 8100202508150005
Дата опубликования: 15.08.2025
Страница №256 из 317:
Увеличить