Официальное опубликование правовых актов
ОФИЦИАЛЬНОЕ ОПУБЛИКОВАНИЕ
Постановление Правительства Луганской Народной Республики от 11.04.2025 № 52/25
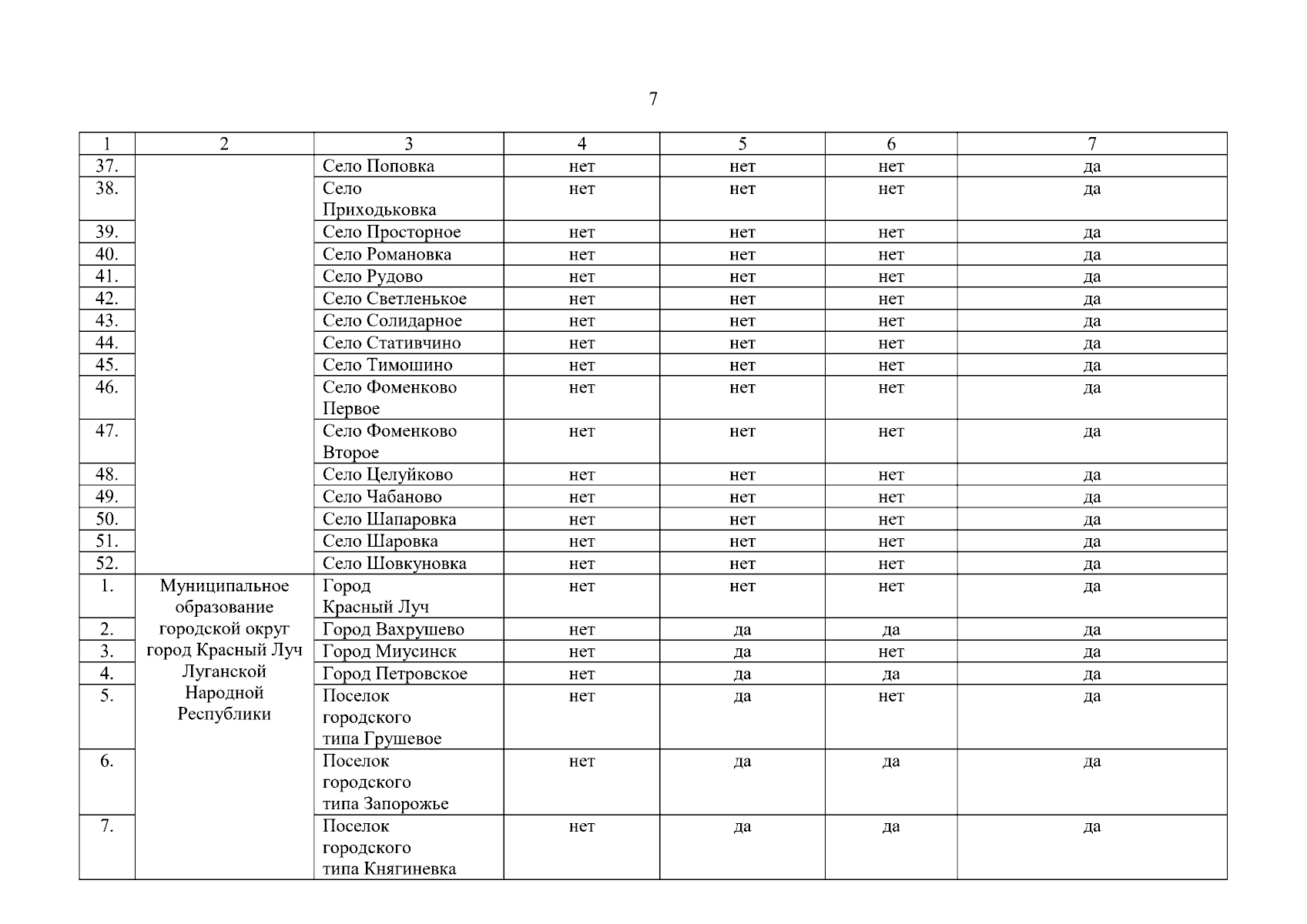
"Об утверждении перечней населенных пунктов, территорий ведения гражданами садоводства или огородничества для собственных нужд, организаций отдыха детей и их оздоровления, подверженных угрозе лесных пожаров и других ландшафтных (природных) пожаров, и установлении начала пожароопасного сезона в 2025 году на территории Луганской Народной Республики"
Номер опубликования: 8100202504110007
Дата опубликования: 11.04.2025
Страница №8 из 78:
Увеличить