Официальное опубликование правовых актов
ОФИЦИАЛЬНОЕ ОПУБЛИКОВАНИЕ
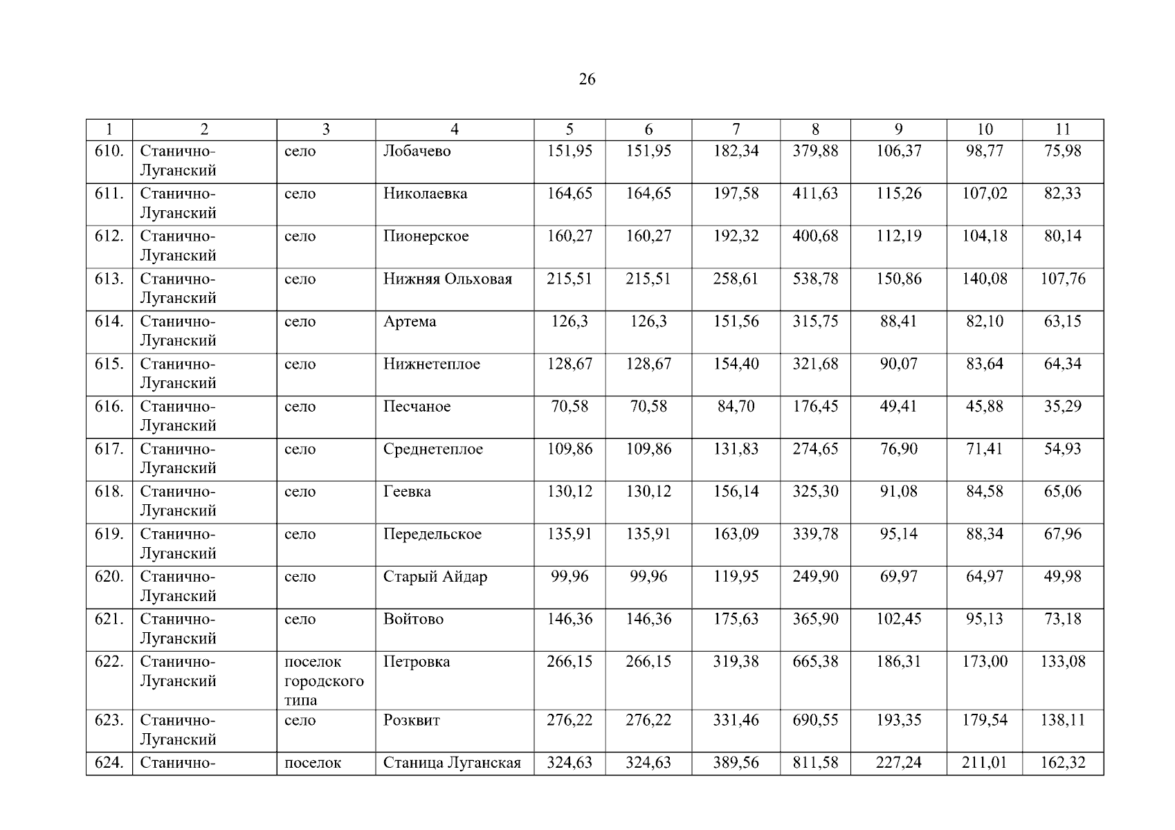
Постановление Правительства Луганской Народной Республики от 01.03.2024 № 34/24
"Об особенностях определения кадастровой стоимости и размерах платы за земельные участки, находящиеся в собственности Луганской Народной Республики или муниципальной собственности, а также за земельные участки, государственная собственность на которые не разграничена, в переходный период"
Номер опубликования: 8100202403040006
Дата опубликования: 04.03.2024
Страница №28 из 55:
Увеличить