Официальное опубликование правовых актов
ОФИЦИАЛЬНОЕ ОПУБЛИКОВАНИЕ
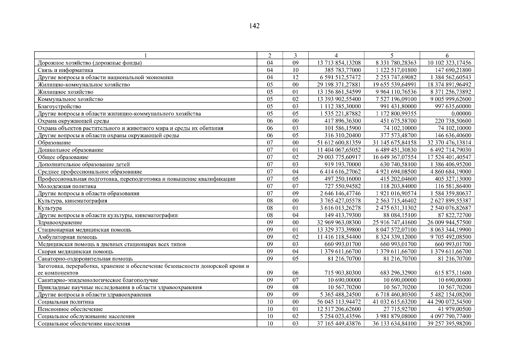
Закон Донецкой Народной Республики от 19.03.2026 № 265-РЗ
"О внесении изменений в Закон Донецкой Народной Республики "О бюджете Донецкой Народной Республики на 2026 год и на плановый период 2027 и 2028 годов"
Номер опубликования: 8000202603230003
Дата опубликования: 23.03.2026
Страница №142 из 294:
Увеличить