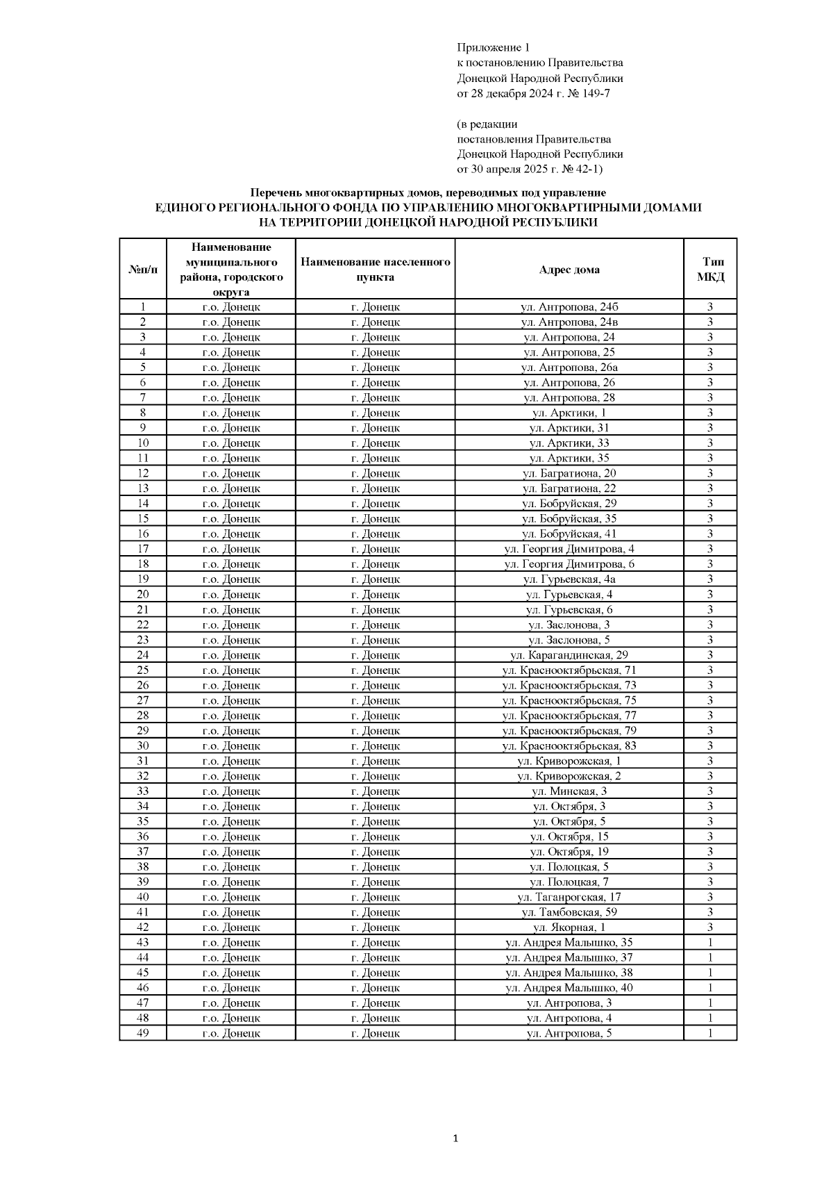
Постановление Правительства Донецкой Народной Республики от 30.04.2025 № 42-1
"О внесении изменений в некоторые постановления Правительства Донецкой Народной Республики по вопросам организации деятельности ЕДИНОГО РЕГИОНАЛЬНОГО ФОНДА ПО УПРАВЛЕНИЮ МНОГОКВАРТИРНЫМИ ДОМАМИ НА ТЕРРИТОРИИ ДОНЕЦКОЙ НАРОДНОЙ РЕСПУБЛИКИ"
"О внесении изменений в некоторые постановления Правительства Донецкой Народной Республики по вопросам организации деятельности ЕДИНОГО РЕГИОНАЛЬНОГО ФОНДА ПО УПРАВЛЕНИЮ МНОГОКВАРТИРНЫМИ ДОМАМИ НА ТЕРРИТОРИИ ДОНЕЦКОЙ НАРОДНОЙ РЕСПУБЛИКИ"
Номер опубликования: 8000202505060001
Дата опубликования:
06.05.2025
