Официальное опубликование правовых актов
ОФИЦИАЛЬНОЕ ОПУБЛИКОВАНИЕ
Закон Донецкой Народной Республики от 22.10.2024 № 119-РЗ
"О внесении изменений в Закон Донецкой Народной Республики "О бюджете Донецкой Народной Республики на 2024 год"
Номер опубликования: 8000202410230001
Дата опубликования: 23.10.2024
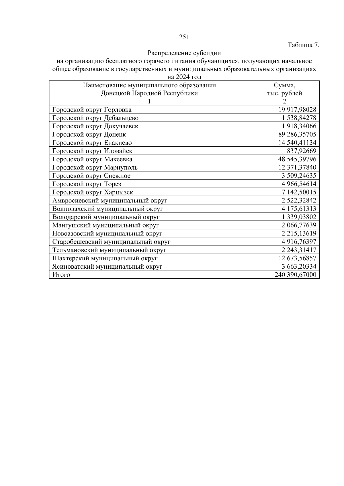
Страница №251 из 280:
Увеличить