Официальное опубликование правовых актов
ОФИЦИАЛЬНОЕ ОПУБЛИКОВАНИЕ
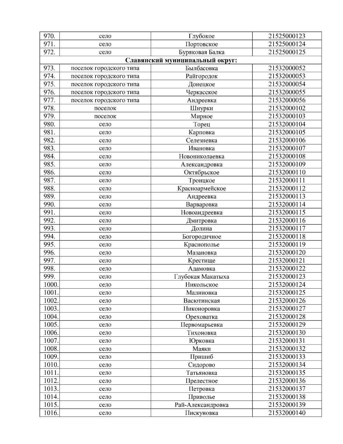
Постановление Правительства Донецкой Народной Республики от 08.10.2024 № 103-2
"Об утверждении Перечня сельских территорий Донецкой Народной Республики"
Номер опубликования: 8000202410110002
Дата опубликования: 11.10.2024
Страница №23 из 28:
Увеличить