Официальное опубликование правовых актов
ОФИЦИАЛЬНОЕ ОПУБЛИКОВАНИЕ
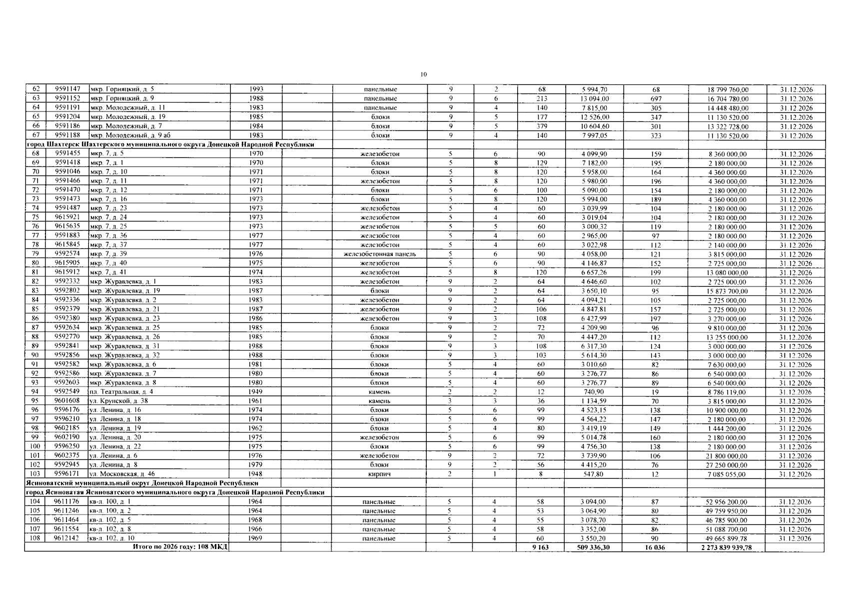
Постановление Правительства Донецкой Народной Республики от 08.10.2024 № 103-3
"Об утверждении региональной адресной программы капитального ремонта общего имущества в многоквартирных домах на территории Донецкой Народной Республики в 2024-2026 годах"
Номер опубликования: 8000202410110001
Дата опубликования: 11.10.2024
Страница №19 из 35:
Увеличить