Официальное опубликование правовых актов
ОФИЦИАЛЬНОЕ ОПУБЛИКОВАНИЕ
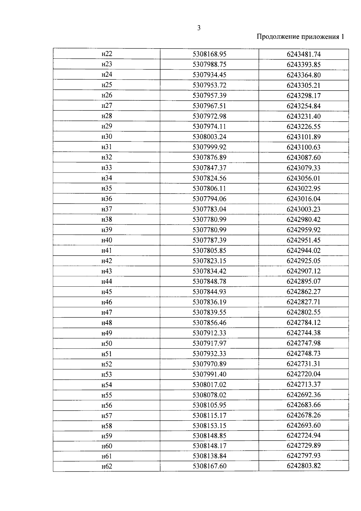
Постановление Правительства Донецкой Народной Республики от 12.08.2024 № 84-5
"О комплексном развитии незастроенной территории в Куйбышевском районе города Донецка городского округа Донецк Донецкой Народной Республики"
Номер опубликования: 8000202408140004
Дата опубликования: 14.08.2024
Страница №5 из 14:
Увеличить