Постановление Правительства Донецкой Народной Республики от 18.04.2024 № 42-7
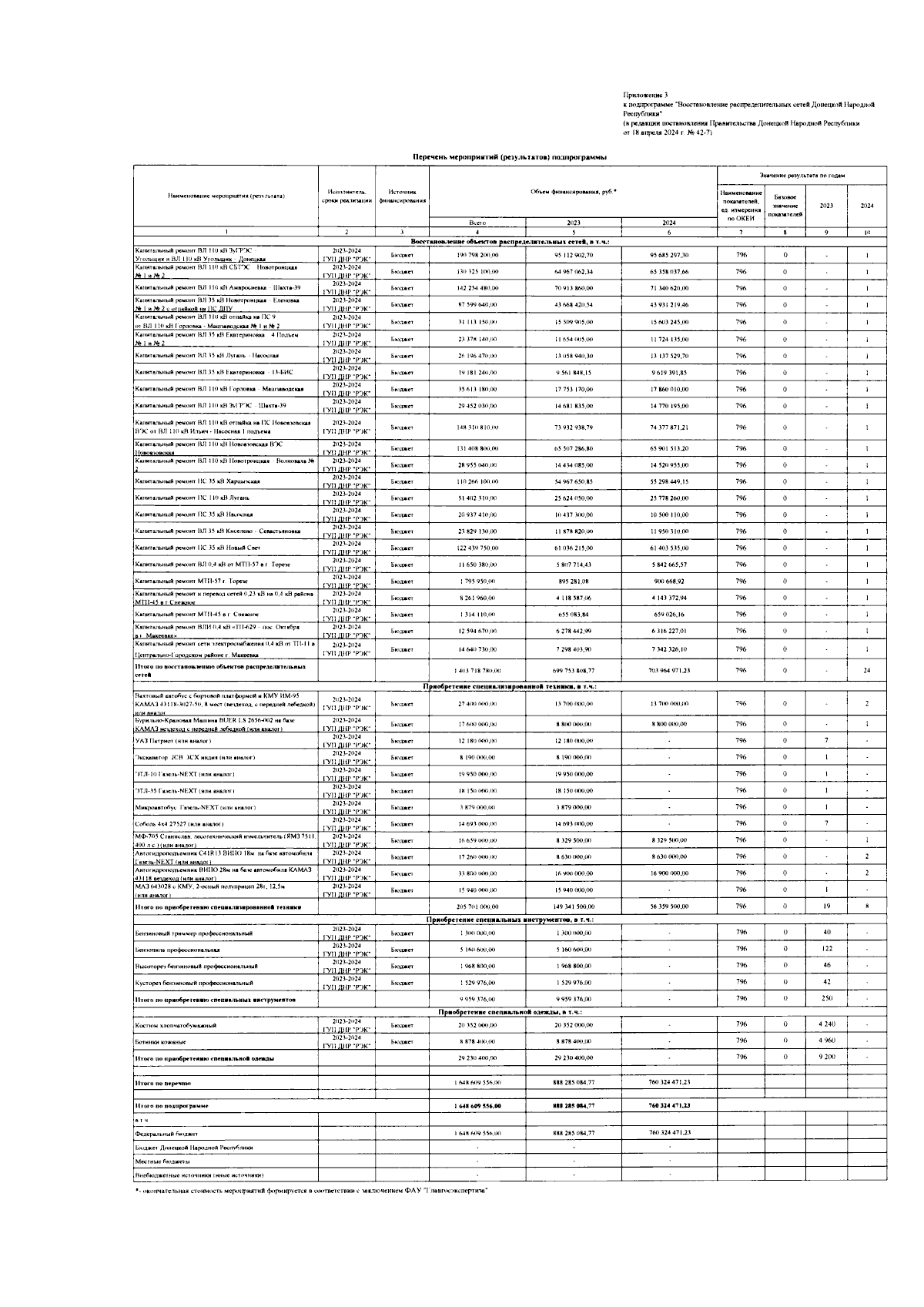
"О внесении изменений в постановление Правительства Донецкой Народной Республики от 14 сентября 2023 г. № 77-2 "Об утверждении подпрограммы "Восстановление распределительных сетей Донецкой Народной Республики"
"О внесении изменений в постановление Правительства Донецкой Народной Республики от 14 сентября 2023 г. № 77-2 "Об утверждении подпрограммы "Восстановление распределительных сетей Донецкой Народной Республики"
Номер опубликования: 8000202404190007
Дата опубликования:
19.04.2024
