Официальное опубликование правовых актов
ОФИЦИАЛЬНОЕ ОПУБЛИКОВАНИЕ
Постановление правительства Еврейской автономной области от 29.01.2026 № 28-пп
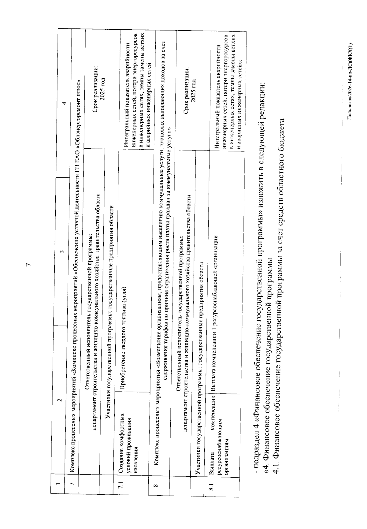
"О внесении изменений и дополнений в государственную программу Еврейской автономной области "Модернизация объектов коммунальной инфраструктуры в Еврейской автономной области" на 2024 – 2028 годы, утвержденную постановлением правительства Еврейской автономной области от 07.12.2023 № 526-пп"
Номер опубликования: 7900202602050002
Дата опубликования: 05.02.2026
Страница №7 из 46:
Увеличить