Официальное опубликование правовых актов
ОФИЦИАЛЬНОЕ ОПУБЛИКОВАНИЕ
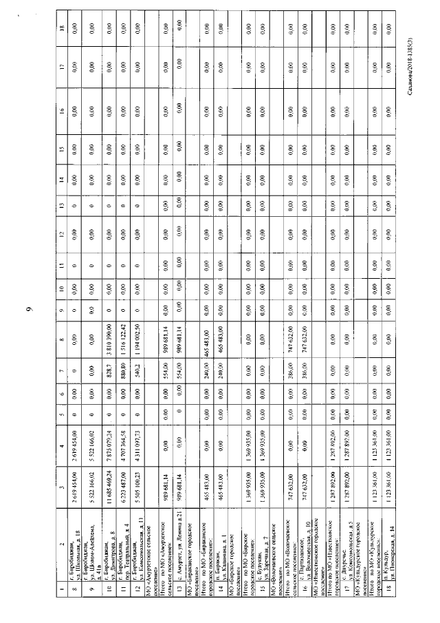
Постановление правительства Еврейской автономной области от 23.05.2018 № 176-пп
"О внесении изменения в краткосрочный план реализации региональной программы по проведению капитального ремонта общего имущества многоквартирных домов, расположенных на территории Еврейской автономной области, на 2017 - 2019 годы, утвержденный постановлением правительства Еврейской автономной области от 07.10.2016 № 301-пп"
Номер опубликования: 7900201805250006
Дата опубликования: 25.05.2018
Страница №10 из 16:
Увеличить