Официальное опубликование правовых актов
ОФИЦИАЛЬНОЕ ОПУБЛИКОВАНИЕ
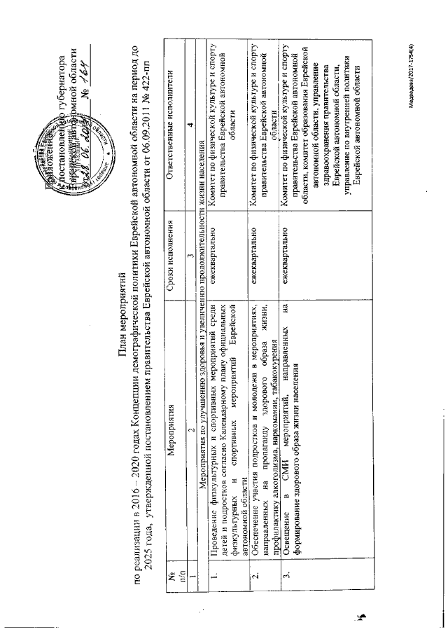
Постановление губернатора Еврейской автономной области от 28.06.2017 № 164
"О внесении изменения в план мероприятий по реализации в 2016 - 2020 годах Концепции демографической политики Еврейской автономной области на период до 2025 года, утвержденной постановлением правительства Еврейской автономной области от 06.09.2011 № 422-пп, утвержденный постановлением губернатора Еврейской автономной области от 28.12.2015 № 378"
Номер опубликования: 7900201707050011
Дата опубликования: 05.07.2017
Страница №2 из 13:
Увеличить