Распоряжение правительства Еврейской автономной области от 18.05.2017 № 122-рп
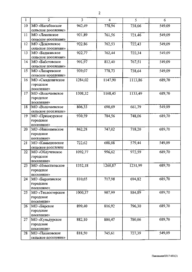
"О размерах авансовой выплаты для предоставления мер социальной поддержки по оплате жилого помещения и коммунальных услуг, установленных законами и иными нормативными правыми актами Российской Федерации, отдельным категориям граждан на территории Еврейской автономной области с 01 мая 2017 года по 30 сентября 2017 года"
"О размерах авансовой выплаты для предоставления мер социальной поддержки по оплате жилого помещения и коммунальных услуг, установленных законами и иными нормативными правыми актами Российской Федерации, отдельным категориям граждан на территории Еврейской автономной области с 01 мая 2017 года по 30 сентября 2017 года"
Номер опубликования: 7900201705220005
Дата опубликования:
22.05.2017
