Официальное опубликование правовых актов
ОФИЦИАЛЬНОЕ ОПУБЛИКОВАНИЕ
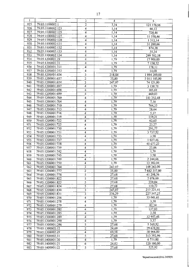
Постановление правительства Еврейской автономной области от 24.11.2016 № 373-пп
"О государственной кадастровой оценке земельных участков в составе земель промышленности, энергетики, транспорта, связи, радиовещания, телевидения, информатики, земель для обеспечения космической деятельности, земель обороны, безопасности и земель иного специального назначения на территории Еврейской автономной области"
Номер опубликования: 7900201611280003
Дата опубликования: 28.11.2016
Страница №20 из 27:
Увеличить