Постановление правительства Еврейской автономной области от 31.08.2016 № 259-пп
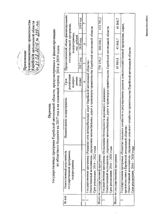
"Об утверждении перечня государственных программ Еврейской автономной области, предусмотренных к финансированию из областного бюджета на 2017 год и на плановый период 2018 и 2019 годов"
"Об утверждении перечня государственных программ Еврейской автономной области, предусмотренных к финансированию из областного бюджета на 2017 год и на плановый период 2018 и 2019 годов"
Номер опубликования: 7900201609060003
Дата опубликования:
06.09.2016
