Официальное опубликование правовых актов
ОФИЦИАЛЬНОЕ ОПУБЛИКОВАНИЕ
Постановление правительства Еврейской автономной области от 11.08.2016 № 238-пп
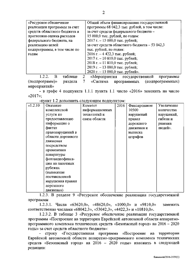
"О внесении изменений и дополнений в постановление правительства Еврейской автономной области от 23.10.2015 № 476-пп "О государственной программе Еврейской автономной области "Построение на территории Еврейской автономной области аппаратно-программного комплекса технических средств "Безопасный город" на 2016 - 2020 годы"
Номер опубликования: 7900201608150003
Дата опубликования: 15.08.2016
Страница №2 из 8:
Увеличить