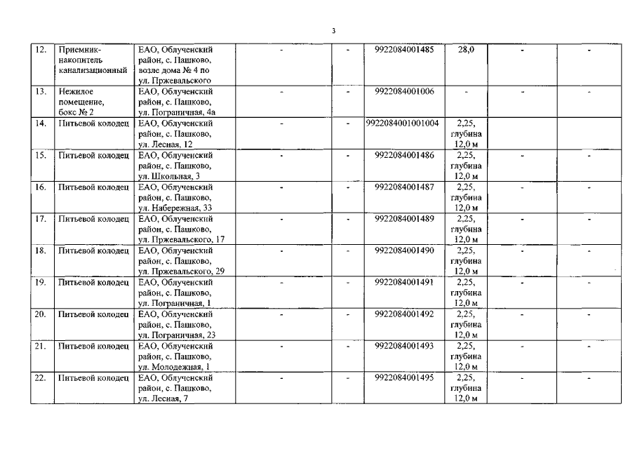
Закон Еврейской автономной области от 28.10.2015 № 807-ОЗ
"О разграничении имущества, находящегося в муниципальной собственности между муниципальным образованием "Облученский муниципальный район" Еврейской автономной области и муниципальным образованием "Пашковское сельское поселение" в связи с перераспределением полномочий"
"О разграничении имущества, находящегося в муниципальной собственности между муниципальным образованием "Облученский муниципальный район" Еврейской автономной области и муниципальным образованием "Пашковское сельское поселение" в связи с перераспределением полномочий"
Номер опубликования: 7900201511110006
Дата опубликования:
11.11.2015
