Официальное опубликование правовых актов
ОФИЦИАЛЬНОЕ ОПУБЛИКОВАНИЕ
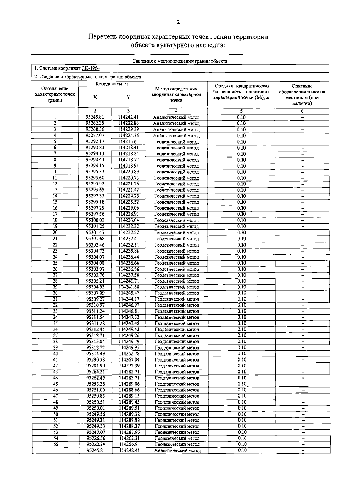
Распоряжение Комитета по государственному контролю, использованию и охране памятников истории и культуры от 01.11.2025 № 308-рп
"О внесении изменения в распоряжение КГИОП от 14.08.2024 № 1096-рп"
(Зарегистрирован 06.11.2025 № 51177)
Номер опубликования: 7801202511070006
Дата опубликования: 07.11.2025
Страница №4 из 4:
Увеличить