Распоряжение Комитета по государственному контролю, использованию и охране памятников истории и культуры от 27.10.2025 № 288-рп
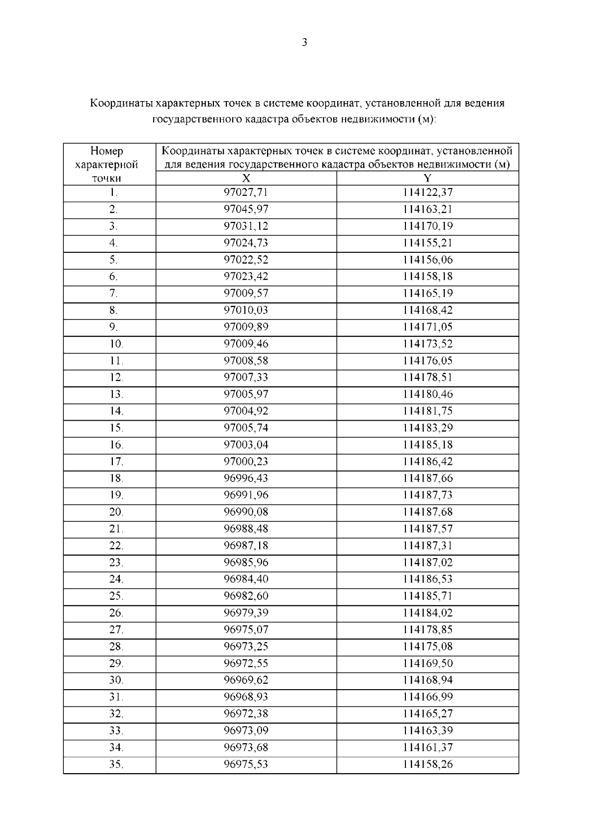
"О включении выявленного объекта культурного наследия в единый государственный реестр объектов культурного наследия (памятников истории и культуры) народов Российской Федерации в качестве объекта культурного наследия регионального значения "Автомобильный гараж и жилой дом фирмы К.Л. Крюммеля", об утверждении границ и режима использования территории объекта культурного наследия, об утверждении предмета охраны объекта культурного наследия"
(Зарегистрирован 28.10.2025 № 51123)
"О включении выявленного объекта культурного наследия в единый государственный реестр объектов культурного наследия (памятников истории и культуры) народов Российской Федерации в качестве объекта культурного наследия регионального значения "Автомобильный гараж и жилой дом фирмы К.Л. Крюммеля", об утверждении границ и режима использования территории объекта культурного наследия, об утверждении предмета охраны объекта культурного наследия"
(Зарегистрирован 28.10.2025 № 51123)
Номер опубликования: 7801202510290001
Дата опубликования:
29.10.2025
