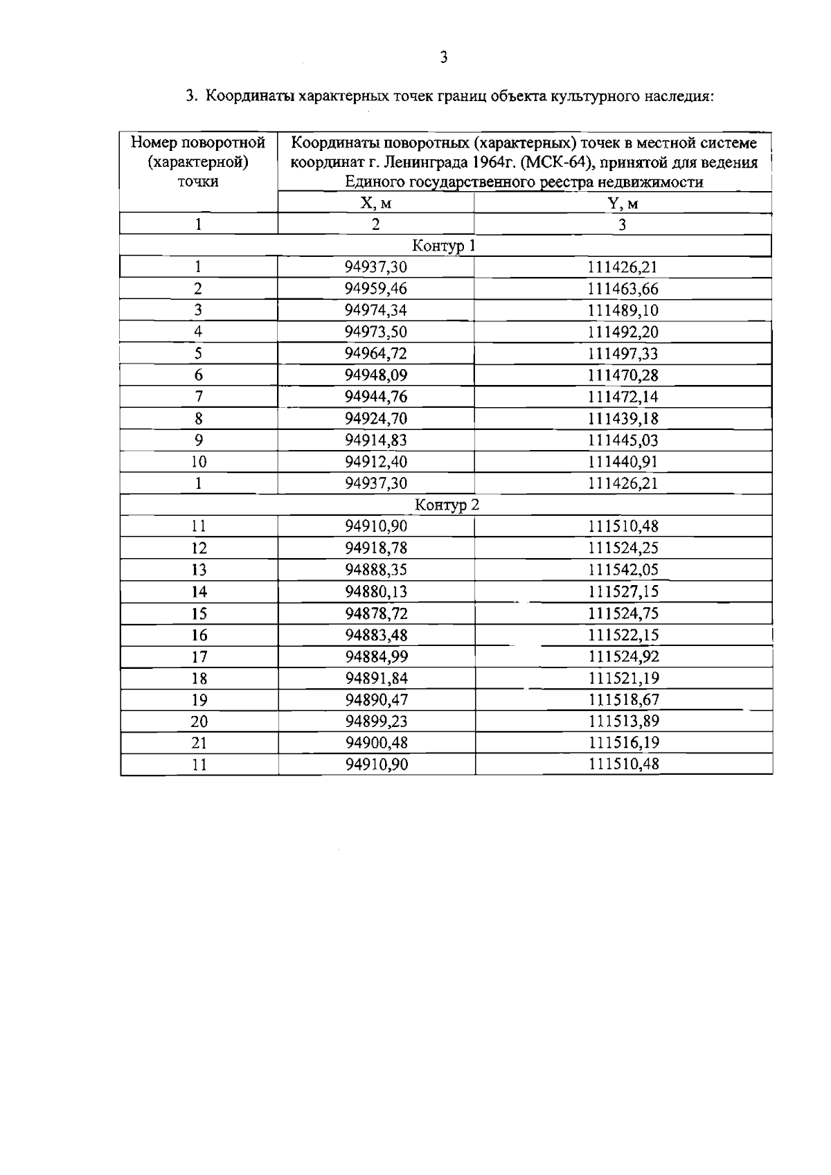
Распоряжение Комитета по государственному контролю, использованию и охране памятников истории и культуры от 29.05.2025 № 163-рп
"О внесении изменений в распоряжение КГИОП от 02.03.2022 № 159-рп"
(Зарегистрирован 03.06.2025 № 50472)
"О внесении изменений в распоряжение КГИОП от 02.03.2022 № 159-рп"
(Зарегистрирован 03.06.2025 № 50472)
Номер опубликования: 7801202506060010
Дата опубликования:
06.06.2025
