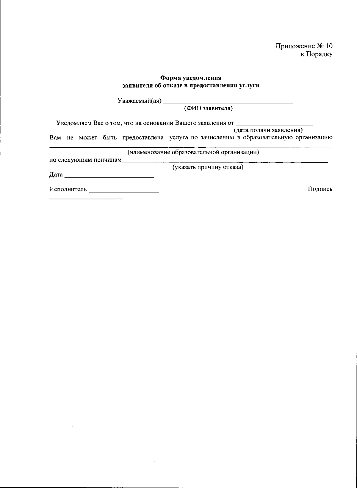
Распоряжение Комитета по образованию от 31.03.2025 № 344-p
"Об утверждении порядка предоставления услуги по зачислению в образовательные организации, реализующие образовательные программы начального общего, основного общего и среднего общего образования детей, являющихся иностранными гражданами и лицами без гражданства"
(Зарегистрирован 10.04.2025 № 50214)
"Об утверждении порядка предоставления услуги по зачислению в образовательные организации, реализующие образовательные программы начального общего, основного общего и среднего общего образования детей, являющихся иностранными гражданами и лицами без гражданства"
(Зарегистрирован 10.04.2025 № 50214)
Номер опубликования: 7801202504150009
Дата опубликования:
15.04.2025
