Официальное опубликование правовых актов
ОФИЦИАЛЬНОЕ ОПУБЛИКОВАНИЕ
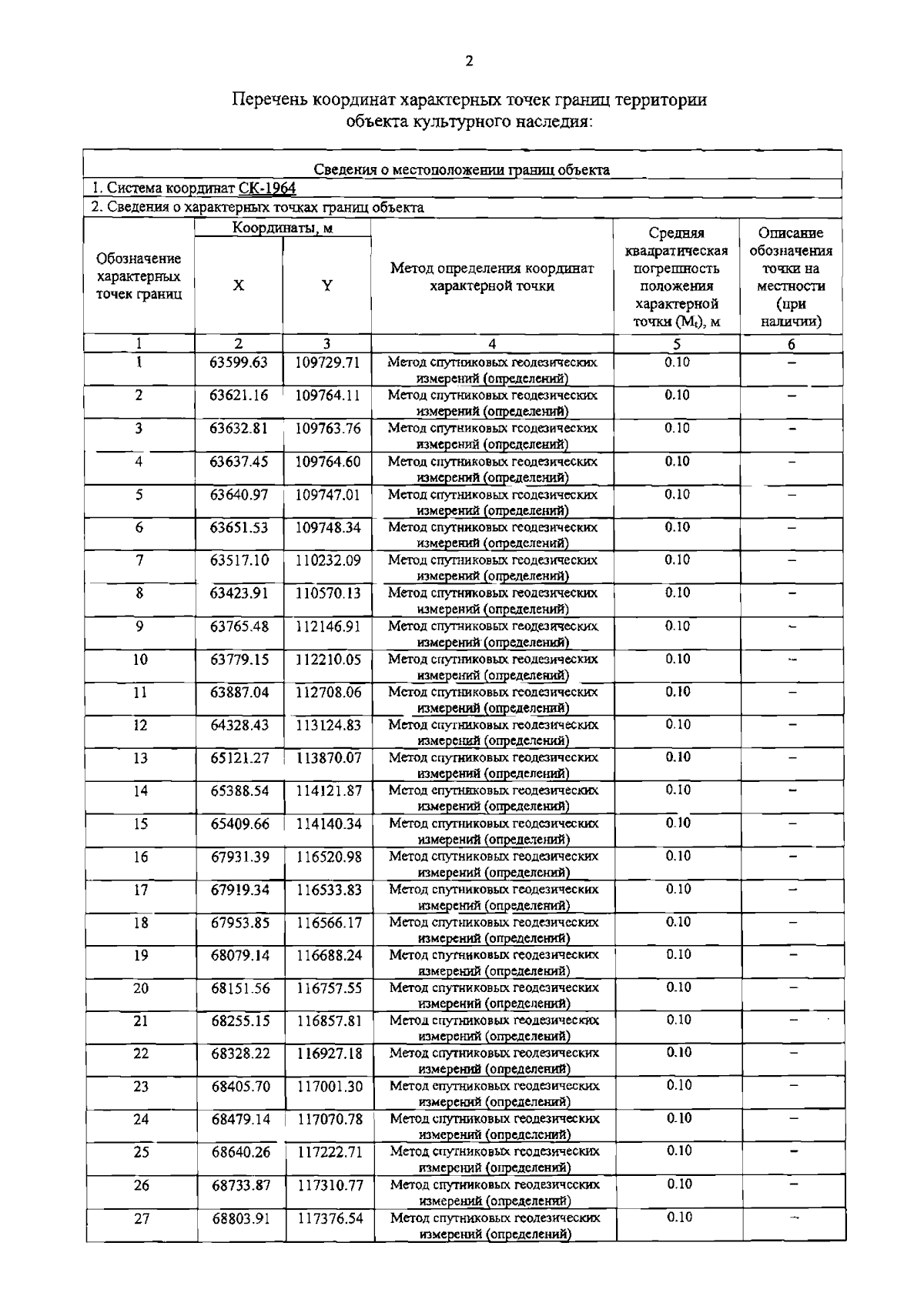
Распоряжение Комитета по государственному контролю, использованию и охране памятников истории и культуры от 18.03.2025 № 50-рп
"Об утверждении границ и режима использования территории объекта культурного наследия федерального значения "Водовод Орловский"
(Зарегистрирован 19.03.2025 № 50103)
Номер опубликования: 7801202503210013
Дата опубликования: 21.03.2025
Страница №4 из 7:
Увеличить