Официальное опубликование правовых актов
ОФИЦИАЛЬНОЕ ОПУБЛИКОВАНИЕ
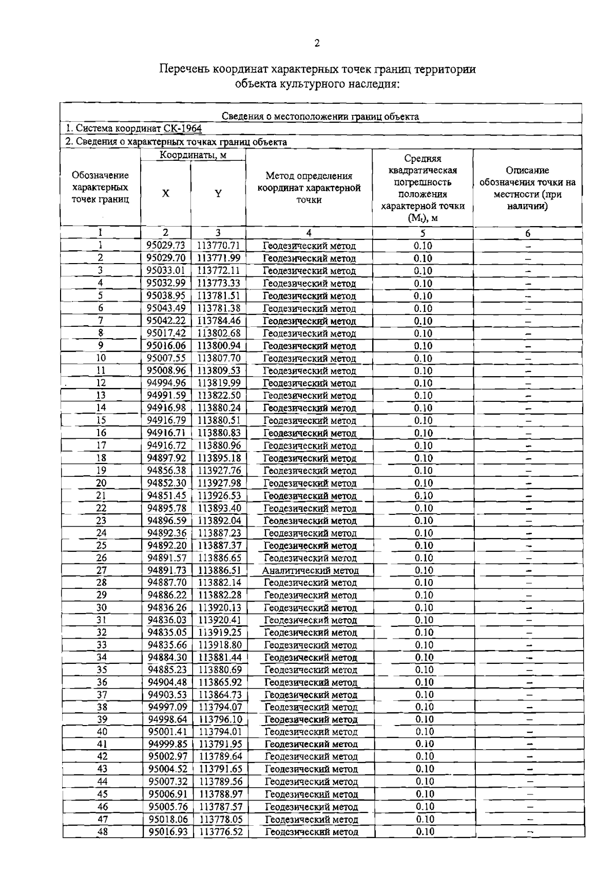
Распоряжение Комитета по государственному контролю, использованию и охране памятников истории и культуры от 18.03.2025 № 51-рп
"Об утверждении границ и режима использования территории объекта культурного наследия федерального значения "Набережные и мосты Зимней канавки"
(Зарегистрирован 19.03.2025 № 50104)
Номер опубликования: 7801202503210007
Дата опубликования: 21.03.2025
Страница №4 из 6:
Увеличить