Официальное опубликование правовых актов
ОФИЦИАЛЬНОЕ ОПУБЛИКОВАНИЕ
Приказ Комитета имущественных отношений Санкт-Петербурга от 10.03.2025 № 32-П
"О внесении изменений в приказ Комитета имущественных отношений Санкт-Петербурга от 09.11.2023 № 199-п"
(Зарегистрирован 11.03.2025 № 50067)
Номер опубликования: 7801202503130020
Дата опубликования: 13.03.2025
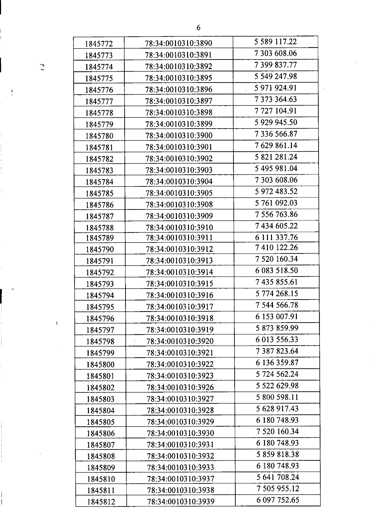
Страница №6 из 13:
Увеличить