Официальное опубликование правовых актов
ОФИЦИАЛЬНОЕ ОПУБЛИКОВАНИЕ
Распоряжение Комитета по государственному контролю, использованию и охране памятников истории и культуры от 25.02.2025 № 17-рп
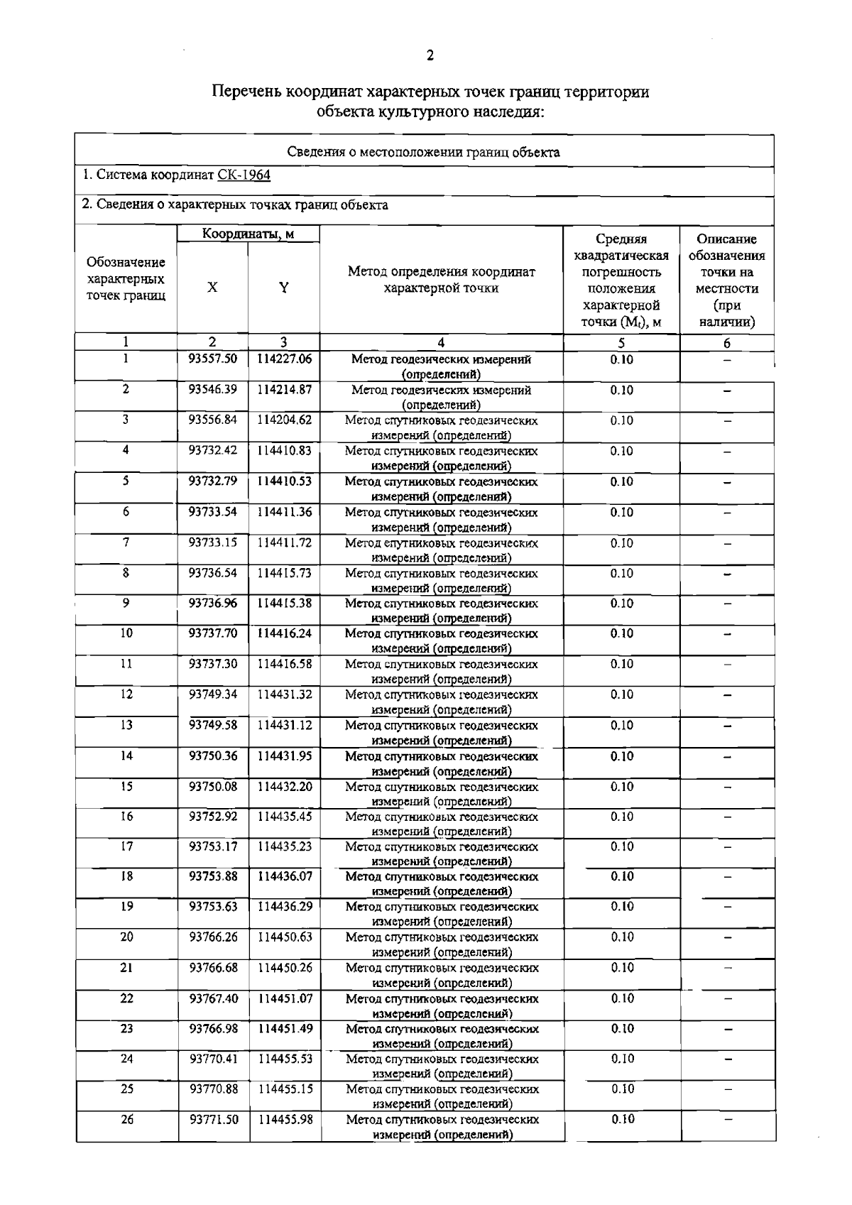
"Об утверждении границ и режима использования территории объекта культурного наследия регионального значения "Апраксин двор с Мариинским рынком (б. Щукиным двором) - комплекс"
(Зарегистрирован 25.02.2025 № 49996)
Номер опубликования: 7801202502280003
Дата опубликования: 28.02.2025
Страница №4 из 8:
Увеличить