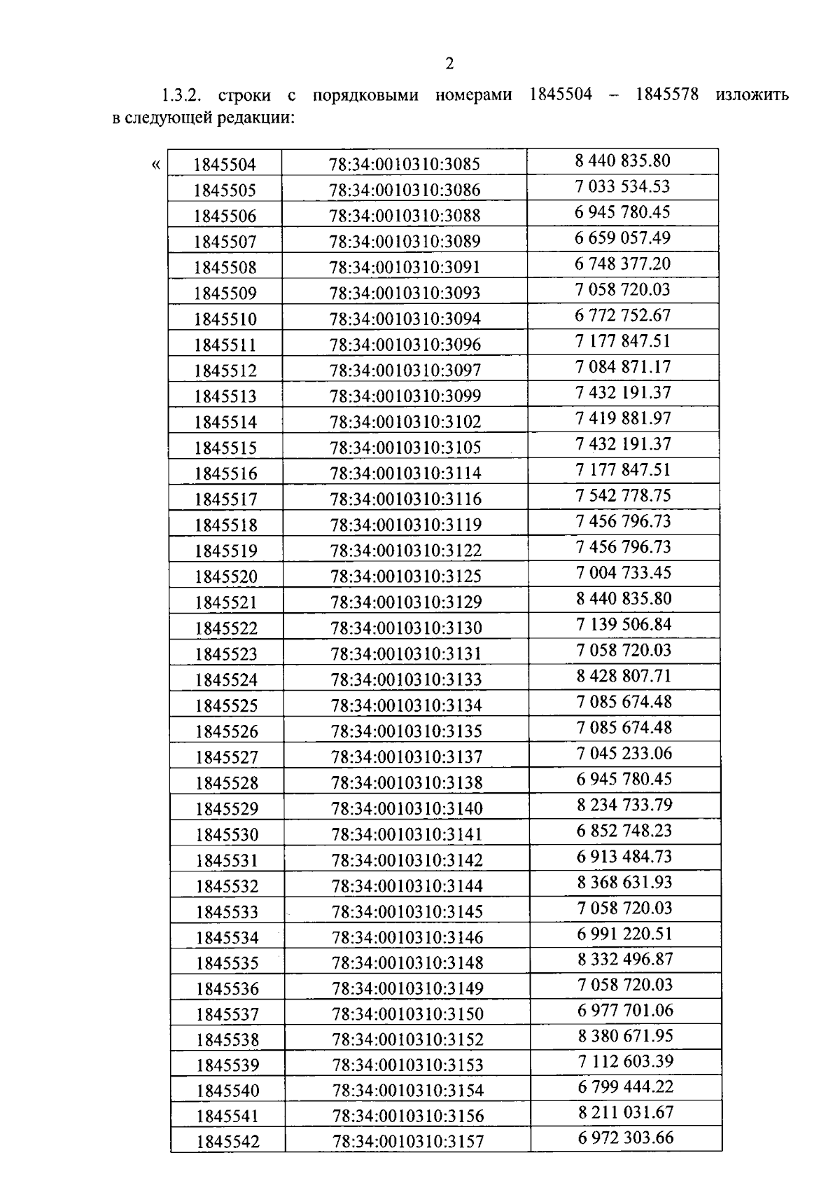
Приказ Комитета имущественных отношений Санкт-Петербурга от 30.01.2025 № 11-П
"О внесении изменений в приказ Комитета имущественных отношений Санкт-Петербурга от 09.11.2023 № 199-п"
(Зарегистрирован 30.01.2025 № 49902)
"О внесении изменений в приказ Комитета имущественных отношений Санкт-Петербурга от 09.11.2023 № 199-п"
(Зарегистрирован 30.01.2025 № 49902)
Номер опубликования: 7801202502040001
Дата опубликования:
04.02.2025
