Официальное опубликование правовых актов
ОФИЦИАЛЬНОЕ ОПУБЛИКОВАНИЕ
Распоряжение Комитета по государственному контролю, использованию и охране памятников истории и культуры от 19.12.2024 № 1560-рп
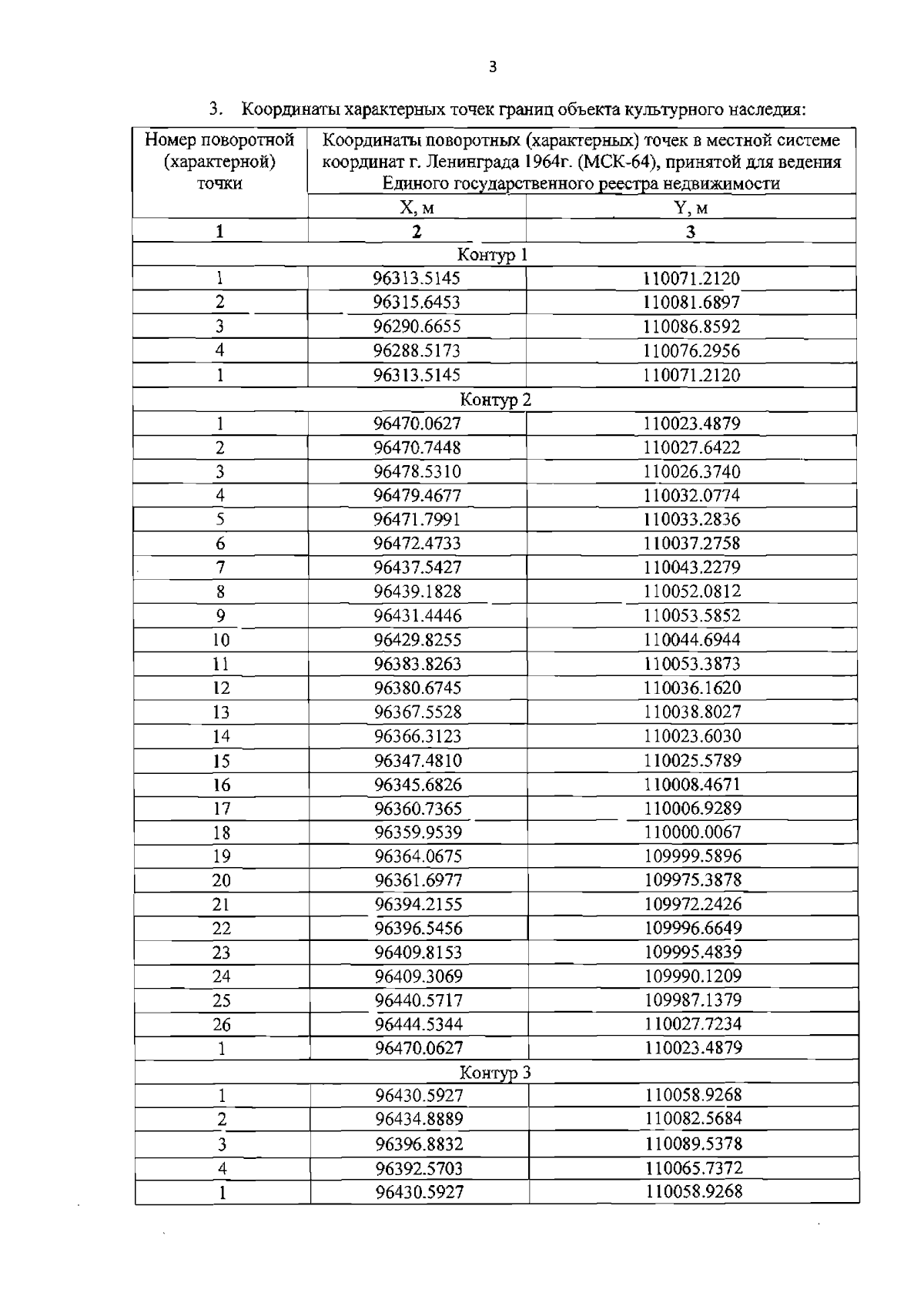
"О включении выявленного объекта культурного наследия в единый государственный реестр объектов культурного наследия (памятников истории и культуры) народов Российской Федерации в качестве объекта культурного наследия регионального значения "Комплекс построек Кожевенного завода Товарищества "И.А. Осипов и Ко", об утверждении границ и режима использования территории объекта культурного наследия, об утверждении предмета охраны объекта культурного наследия"
(Зарегистрирован 20.12.2024 № 49643)
Номер опубликования: 7801202412240030
Дата опубликования: 24.12.2024
Страница №6 из 21:
Увеличить