Официальное опубликование правовых актов
ОФИЦИАЛЬНОЕ ОПУБЛИКОВАНИЕ
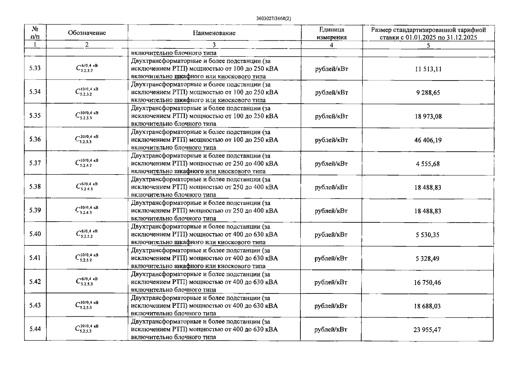
Распоряжение Комитета по тарифам Санкт-Петербурга от 29.11.2024 № 198-р
"Об установлении стандартизированных тарифных ставок, формул для расчета платы за технологическое присоединение к электрическим сетям территориальных сетевых организаций на территории Санкт-Петербурга на 2025 год"
(Зарегистрирован 29.11.2024 № 49428)
Номер опубликования: 7801202411300028
Дата опубликования: 30.11.2024
Страница №24 из 29:
Увеличить