Официальное опубликование правовых актов
ОФИЦИАЛЬНОЕ ОПУБЛИКОВАНИЕ
Распоряжение Комитета по государственному контролю, использованию и охране памятников истории и культуры от 03.10.2024 № 1264-рп
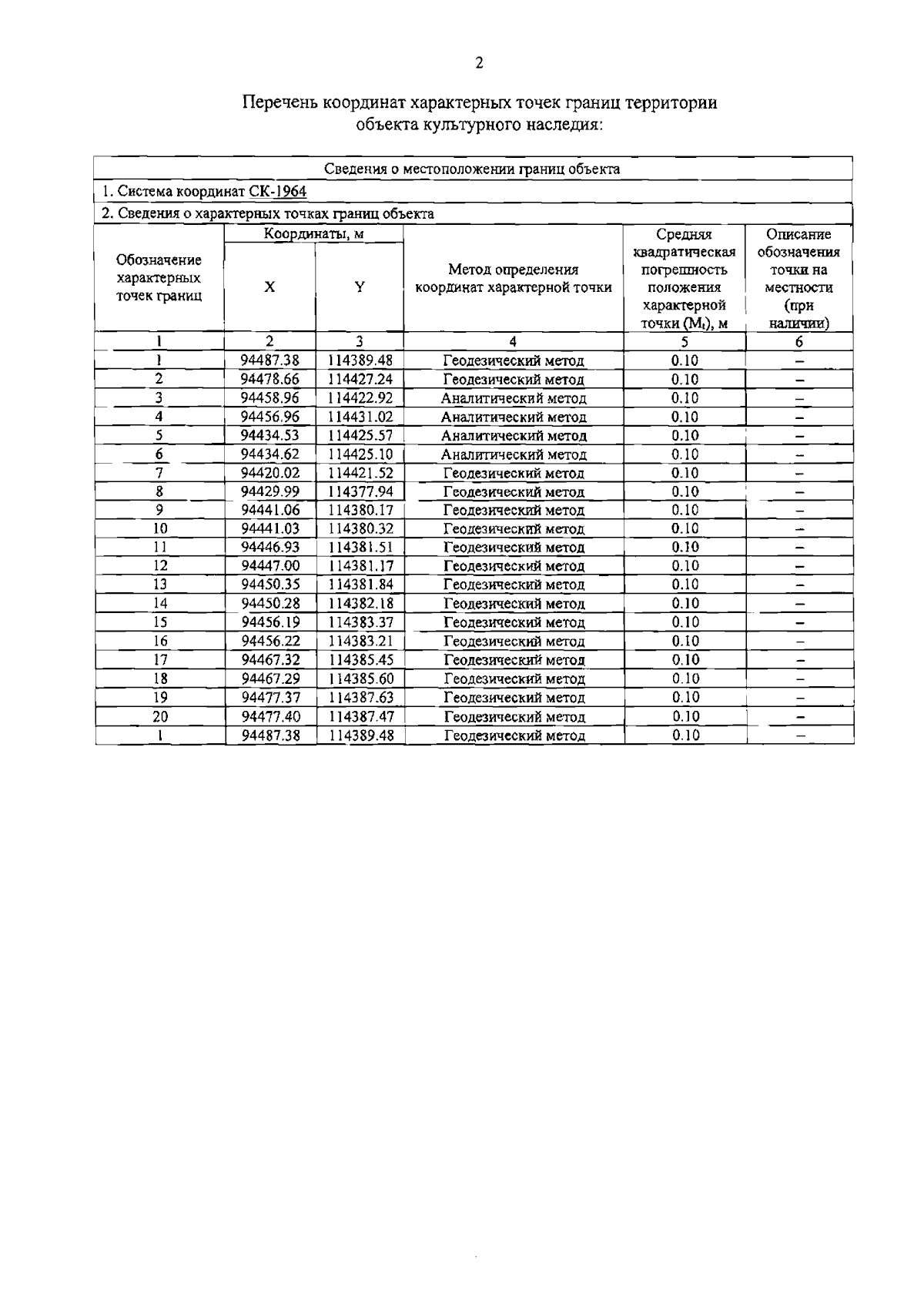
"Об утверждении границ и режима использования территории объекта культурного наследия регионального значения "Особняк М.А. Горчакова (здание товарищества нефтяного производства "Братья Нобель")"
(Зарегистрирован 07.10.2024 № 49048)
Номер опубликования: 7801202410090019
Дата опубликования: 09.10.2024
Страница №4 из 5:
Увеличить