Официальное опубликование правовых актов
ОФИЦИАЛЬНОЕ ОПУБЛИКОВАНИЕ
Распоряжение Комитета по государственному контролю, использованию и охране памятников истории и культуры от 01.10.2024 № 1255-рп
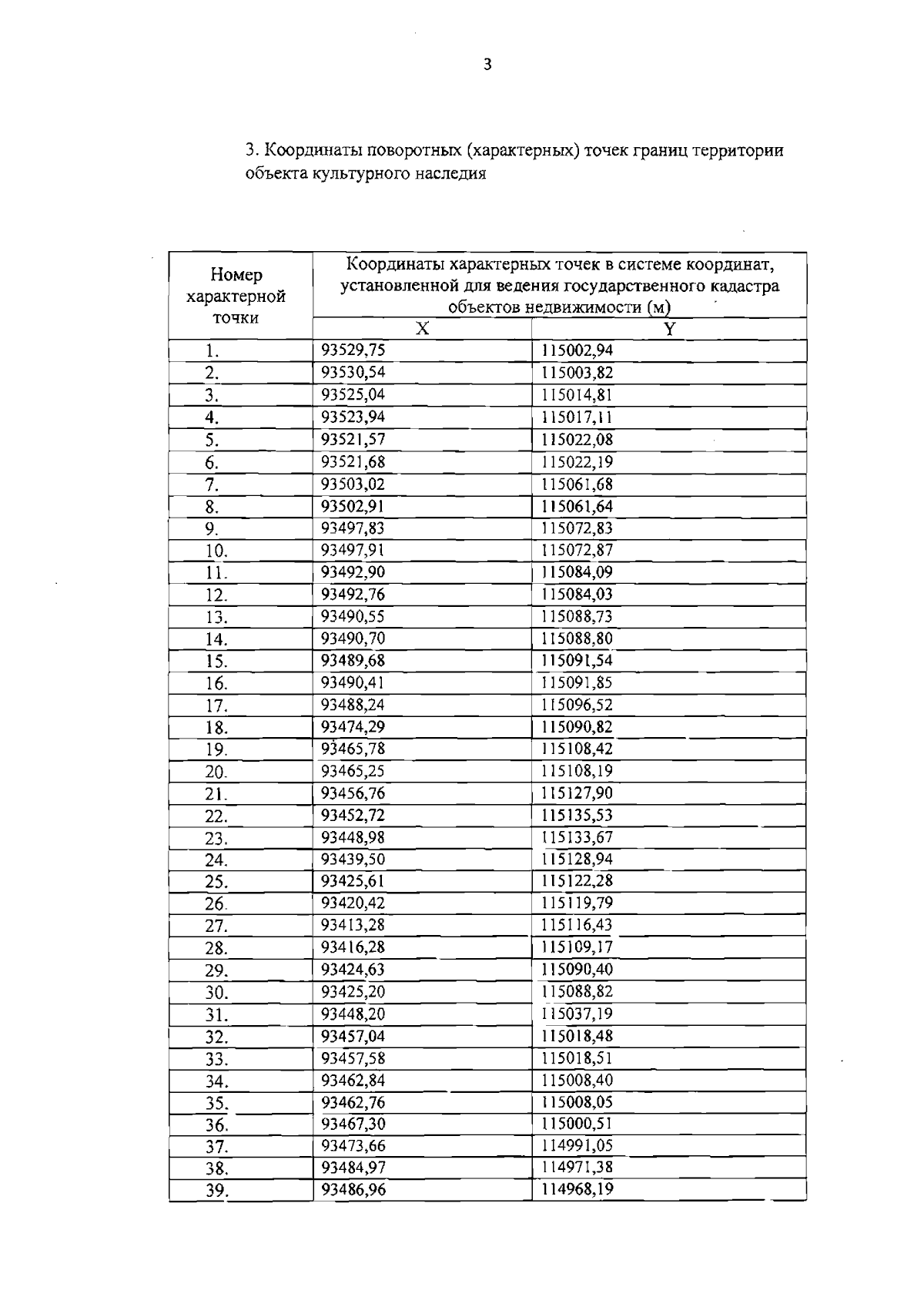
"О включении выявленного объекта культурного наследия в единый государственный реестр объектов культурного наследия (памятников истории и культуры) народов Российской Федерации в качестве объекта культурного наследия регионального значения "Здание Петровского коммерческого училища Санкт-Петербургского купеческого общества (со сквером и оградой)", об утверждении границ и режима использования территории объекта культурного наследия, об утверждении предмета охраны объекта культурного наследия"
(Зарегистрирован 08.10.2024 № 49053)
Номер опубликования: 7801202410090016
Дата опубликования: 09.10.2024
Страница №6 из 62:
Увеличить