Официальное опубликование правовых актов
ОФИЦИАЛЬНОЕ ОПУБЛИКОВАНИЕ
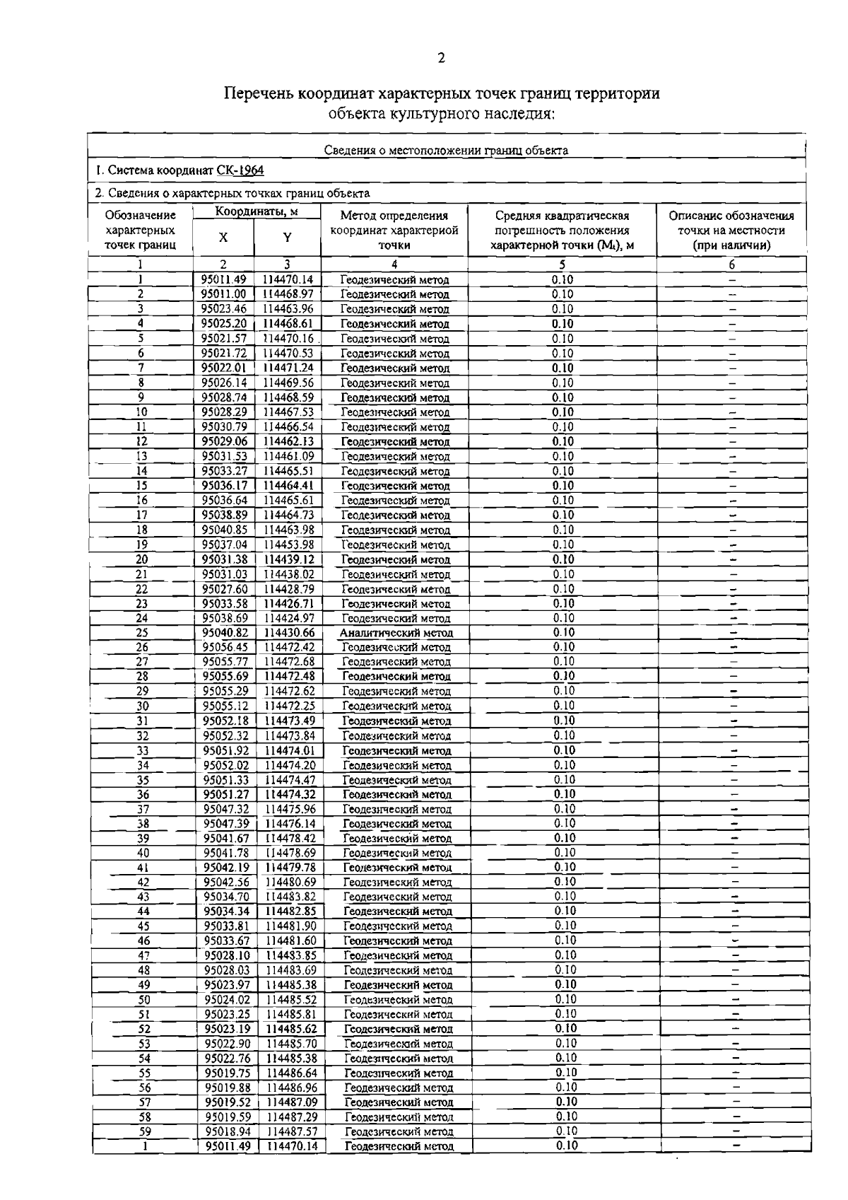
Распоряжение Комитета по государственному контролю, использованию и охране памятников истории и культуры от 03.10.2024 № 1257-рп
"Об утверждении границ и режима использования территории объекта культурного наследия регионального значения "Особняк С.П. Ягужинского"
(Зарегистрирован 07.10.2024 № 49038)
Номер опубликования: 7801202410080008
Дата опубликования: 08.10.2024
Страница №4 из 5:
Увеличить