Распоряжение Комитета по государственному контролю, использованию и охране памятников истории и культуры от 23.09.2024 № 1238-рп
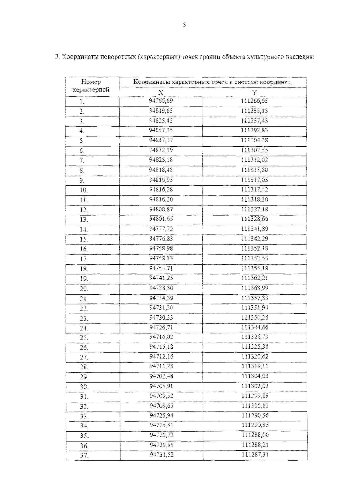
"О включении выявленного объекта культурного наследия в единый государственный реестр объектов культурного наследия (памятников истории и культуры) народов Российской Федерации в качестве объекта культурного наследия регионального значения "Дома В.Н. фон Дервиз", об утверждении границ и режима использования территории объекта культурного наследия, об утверждении предмета охраны объекта культурного наследия"
(Зарегистрирован 25.09.2024 № 48980)
"О включении выявленного объекта культурного наследия в единый государственный реестр объектов культурного наследия (памятников истории и культуры) народов Российской Федерации в качестве объекта культурного наследия регионального значения "Дома В.Н. фон Дервиз", об утверждении границ и режима использования территории объекта культурного наследия, об утверждении предмета охраны объекта культурного наследия"
(Зарегистрирован 25.09.2024 № 48980)
Номер опубликования: 7801202409300003
Дата опубликования:
30.09.2024
