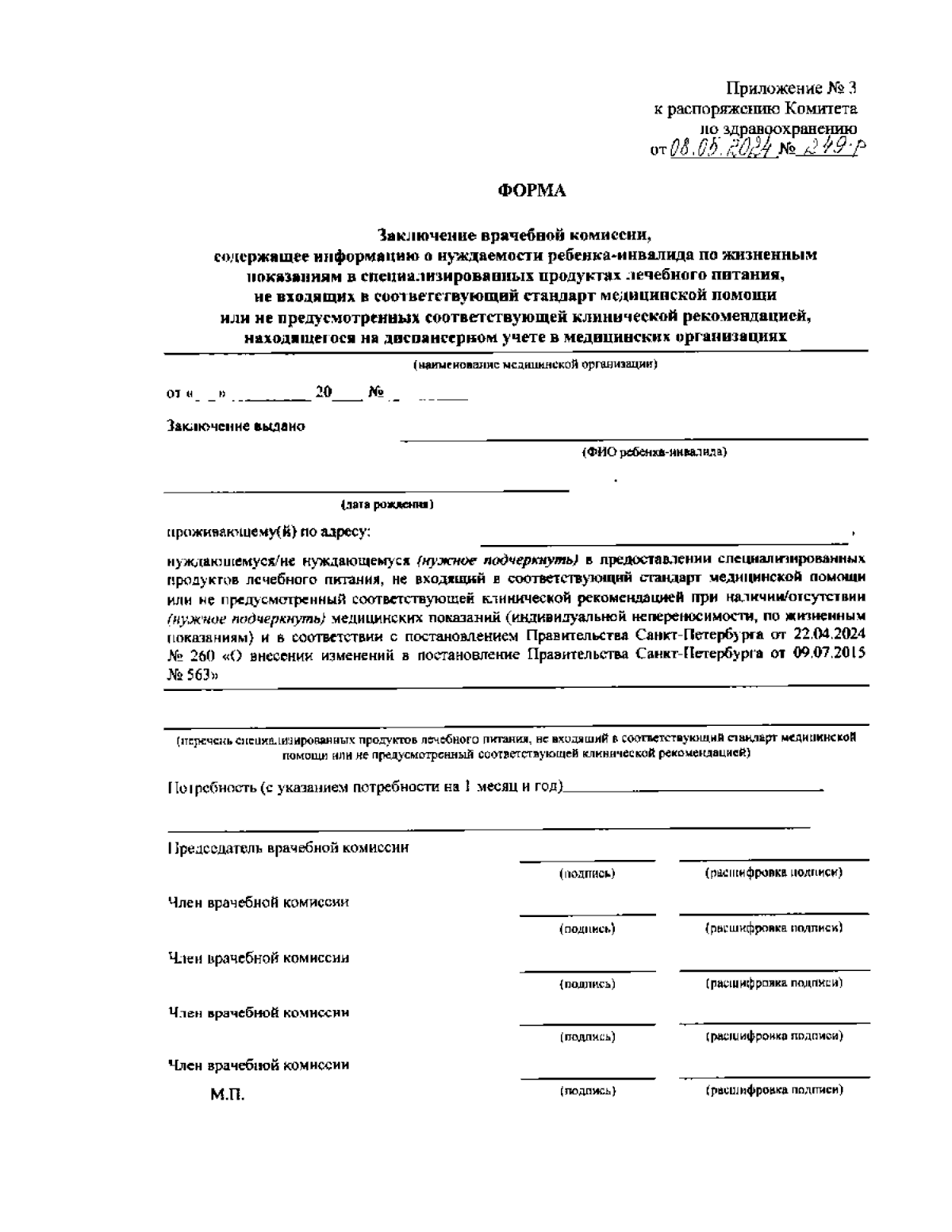
Распоряжение Комитета по здравоохранению Санкт-Петербурга от 08.05.2024 № 249-р
"О реализации постановления Правительства Санкт-Петербурга от 22.04.2024 № 260 "О внесении изменений в постановление Правительства Санкт-Петербурга от 09.07.2015 № 563"
(Зарегистрирован 20.05.2024 № 47838)
"О реализации постановления Правительства Санкт-Петербурга от 22.04.2024 № 260 "О внесении изменений в постановление Правительства Санкт-Петербурга от 09.07.2015 № 563"
(Зарегистрирован 20.05.2024 № 47838)
Номер опубликования: 7801202405210003
Дата опубликования:
21.05.2024
