Официальное опубликование правовых актов
ОФИЦИАЛЬНОЕ ОПУБЛИКОВАНИЕ
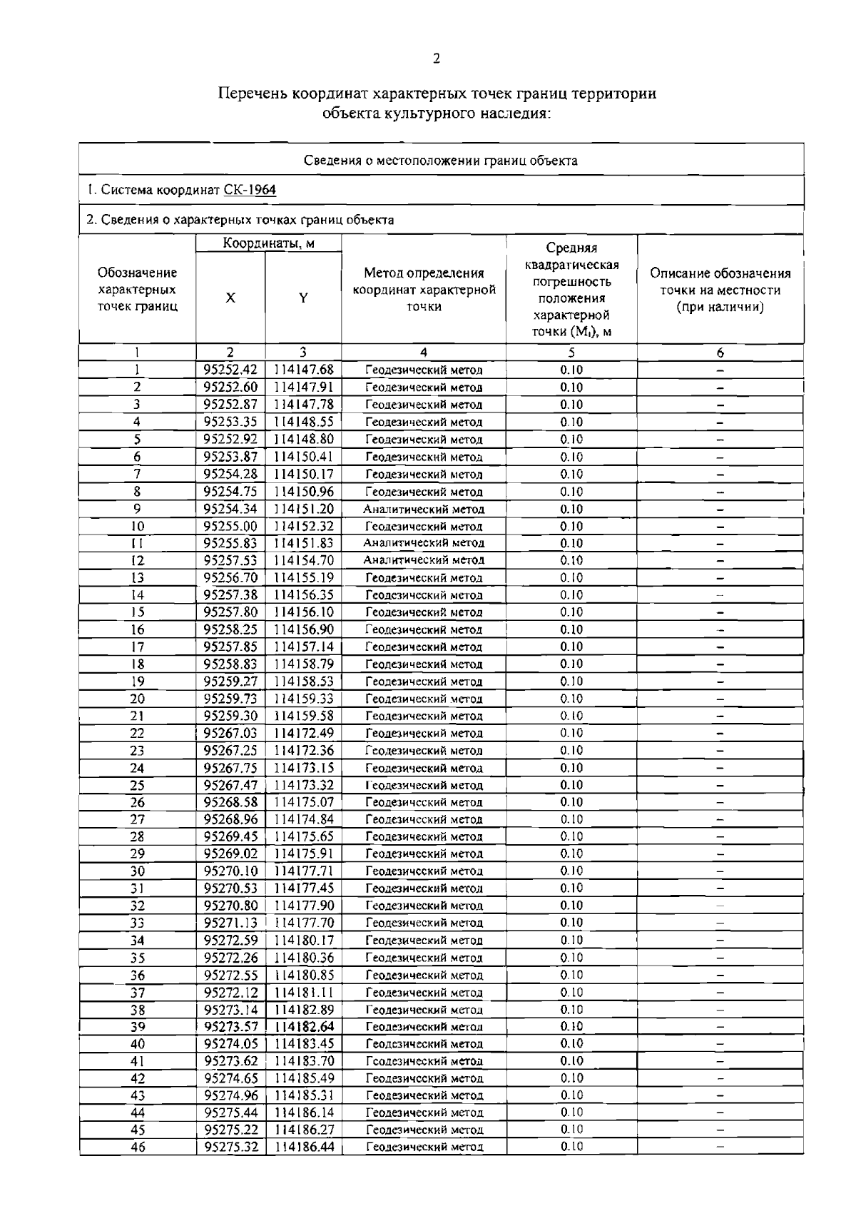
Распоряжение Комитета по государственному контролю, использованию и охране памятников истории и культуры Санкт-Петербурга от 15.02.2024 № 199-рп
"Об утверждении границ и режима использования территории объекта культурного наследия регионального значения "Особняк А.П. Гагариной (дом Н.П. Жеребцовой)"
(Зарегистрирован 15.02.2024 № 37007)
Номер опубликования: 7801202402200012
Дата опубликования: 20.02.2024
Страница №4 из 6:
Увеличить