Официальное опубликование правовых актов
ОФИЦИАЛЬНОЕ ОПУБЛИКОВАНИЕ
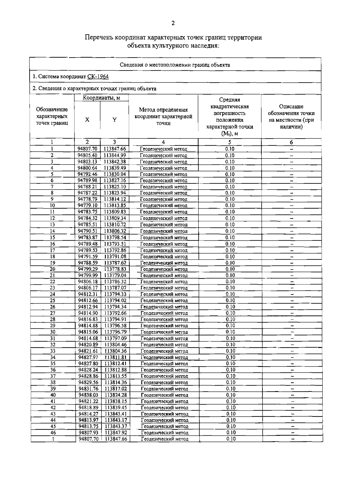
Распоряжение Комитета по государственному контролю, использованию и охране памятников истории и культуры Санкт-Петербурга от 15.02.2024 № 201-рп
"Об утверждении границ и режима использования территории объекта культурного наследия регионального значения "Жилой дом штаба Гвардейского Корпуса"
(Зарегистрирован 16.02.2024 № 37010)
Номер опубликования: 7801202402200008
Дата опубликования: 20.02.2024
Страница №4 из 5:
Увеличить