Официальное опубликование правовых актов
ОФИЦИАЛЬНОЕ ОПУБЛИКОВАНИЕ
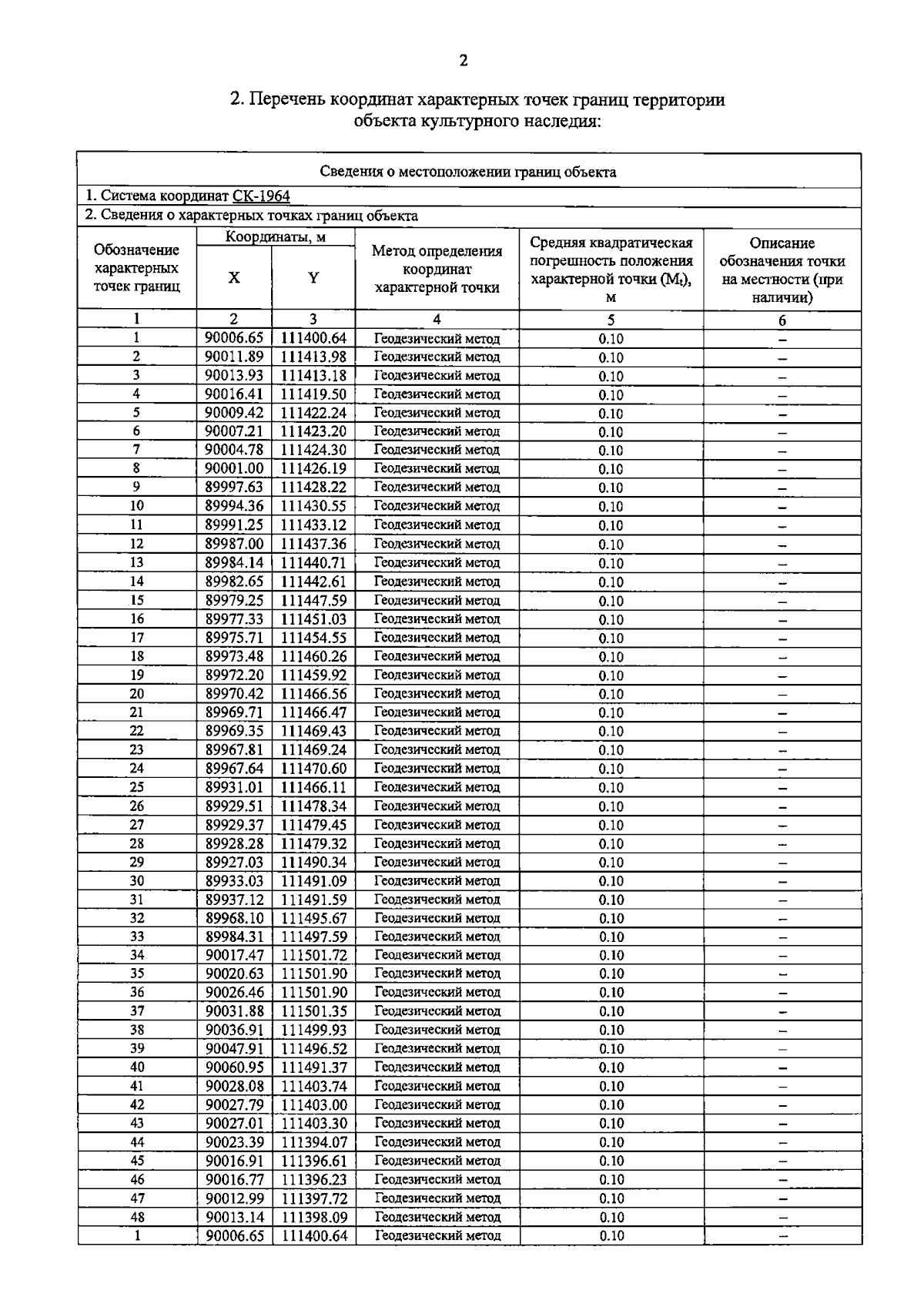
Распоряжение Комитета по государственному контролю, использованию и охране памятников истории и культуры Санкт-Петербурга от 23.08.2023 № 772-рп
"Об утверждении границ и режима использования территории объекта культурного наследия федерального значения "Школа имени 10-летия Октября"
(Зарегистрирован 24.08.2023 № 35776)
Номер опубликования: 7801202308300014
Дата опубликования: 30.08.2023
Страница №4 из 5:
Увеличить