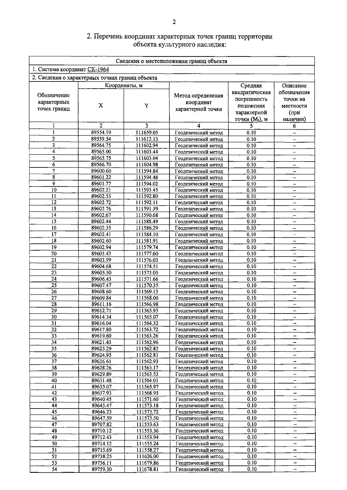
Распоряжение Комитета по государственному контролю, использованию и охране памятников истории и культуры Санкт-Петербурга от 23.08.2023 № 771-рп "Об утверждении границ и режима использования территории объекта культурного наследия федерального значения "Райсовет Кировский, 1930-1935 гг., арх. Троцкий Н.А."
(Зарегистрирован 24.08.2023 № 35775)
(Зарегистрирован 24.08.2023 № 35775)
Номер опубликования: 7801202308290016
Дата опубликования:
29.08.2023
