Официальное опубликование правовых актов
ОФИЦИАЛЬНОЕ ОПУБЛИКОВАНИЕ
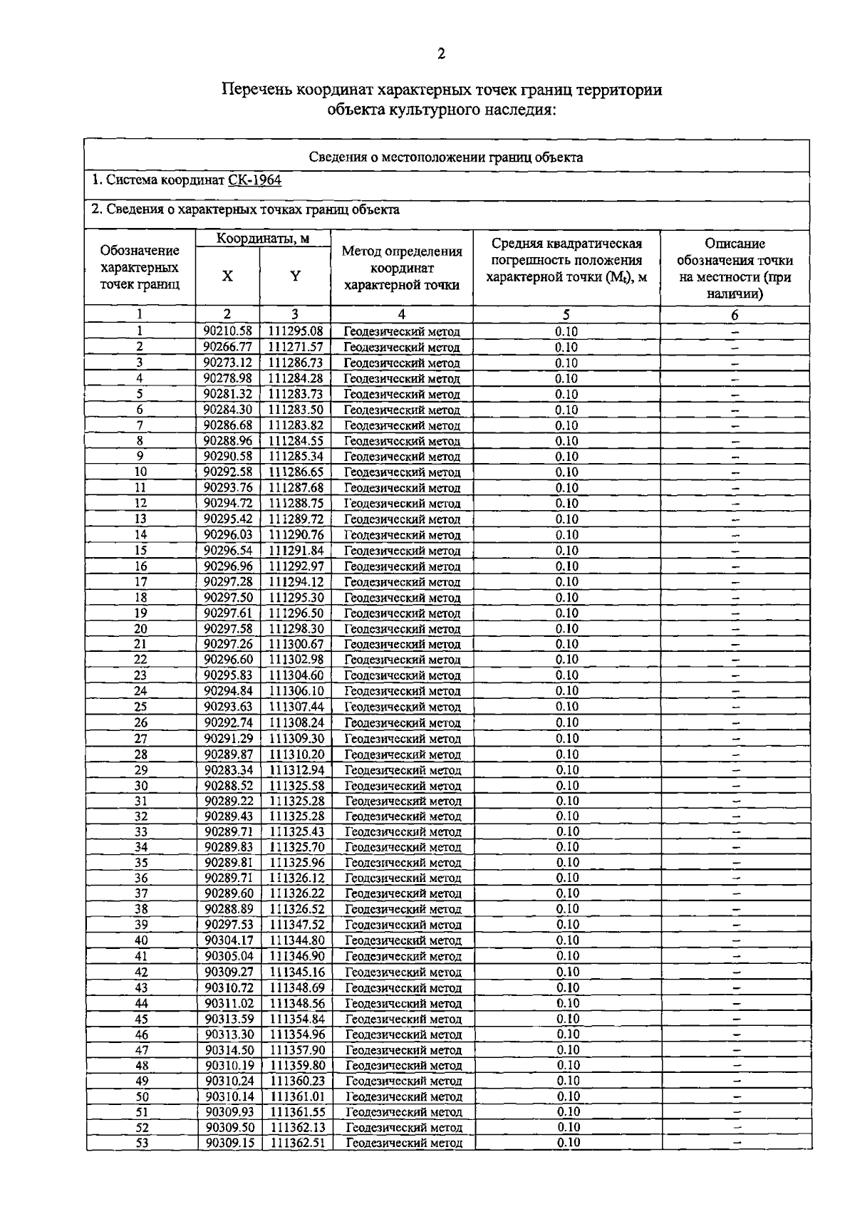
Распоряжение Комитета по государственному контролю, использованию и охране памятников истории и культуры Санкт-Петербурга от 15.08.2023 № 732-рп
"Об утверждении границ и режима использования территории объекта культурного наследия регионального значения "Универмаг и фабрика-кухня"
(Зарегистрирован 16.08.2023 № 35688)
Номер опубликования: 7801202308170012
Дата опубликования: 17.08.2023
Страница №4 из 6:
Увеличить