Официальное опубликование правовых актов
ОФИЦИАЛЬНОЕ ОПУБЛИКОВАНИЕ
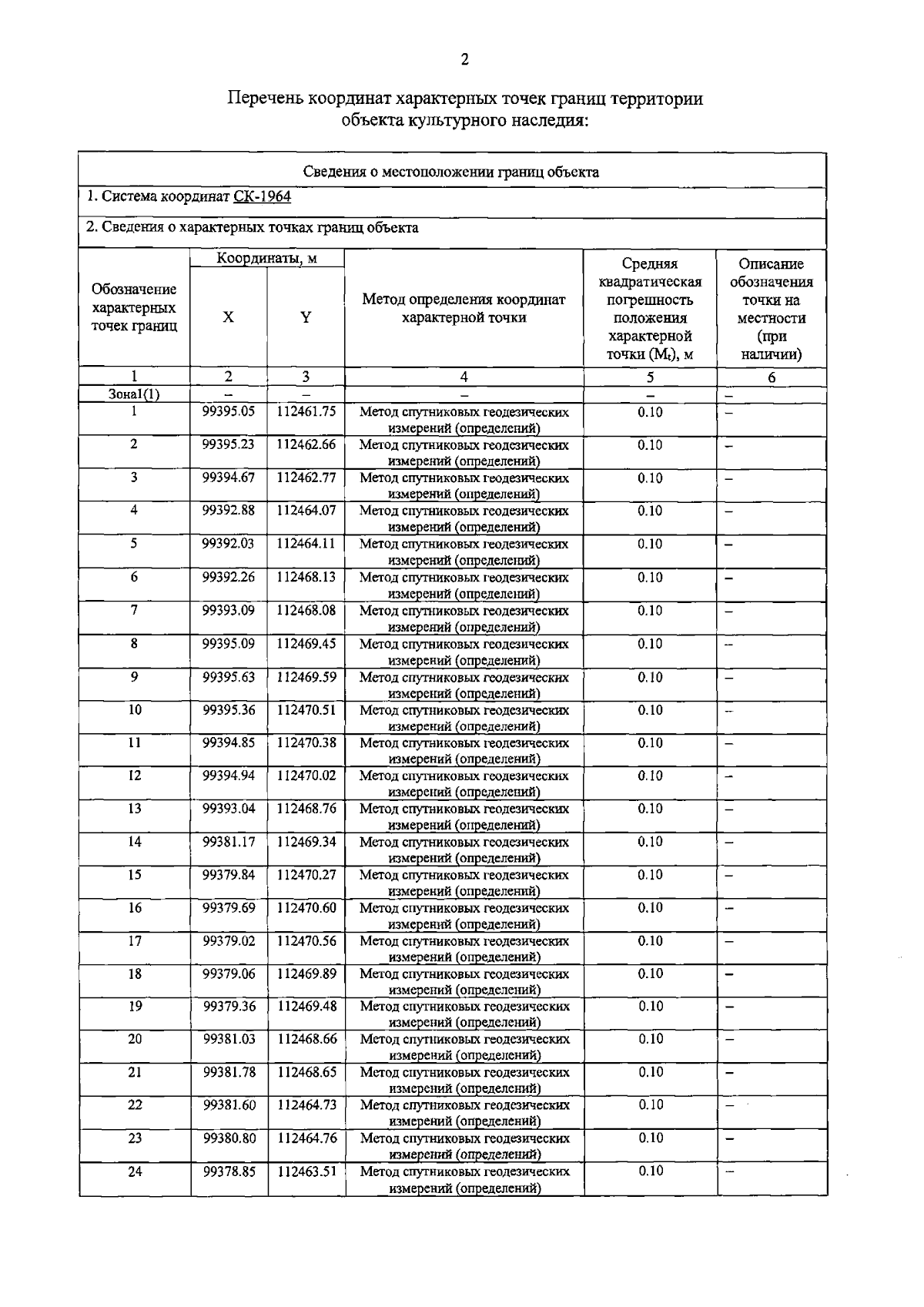
Распоряжение Комитета по государственному контролю, использованию и охране памятников истории и культуры Санкт-Петербурга от 15.08.2023 № 736-рп
"Об утверждении границ и режима использования территории объекта культурного наследия регионального значения "Два железобетонных мостика"
(Зарегистрирован 16.08.2023 № 35692)
Номер опубликования: 7801202308170008
Дата опубликования: 17.08.2023
Страница №4 из 7:
Увеличить