Официальное опубликование правовых актов
ОФИЦИАЛЬНОЕ ОПУБЛИКОВАНИЕ
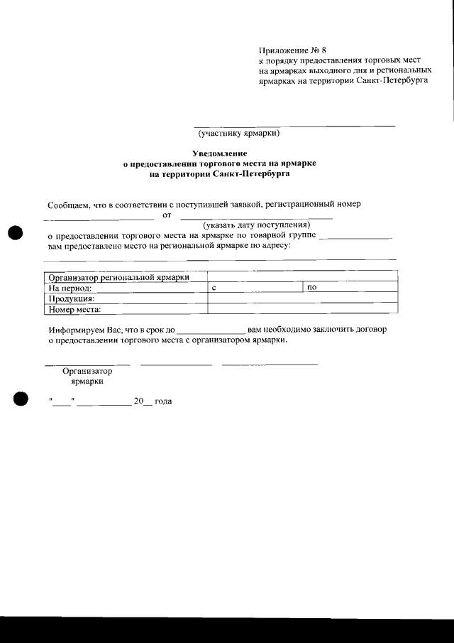
Распоряжение Комитета по промышленной политике, инновациям и торговле Санкт-Петербурга от 14.09.2022 № 3589-р
"О внесении изменений в распоряжение Комитета по промышленной политике, инновациям и торговле Санкт-Петербурга от 17.11.2020 № 4328-р"
Номер опубликования: 7801202209220007
Дата опубликования: 22.09.2022
Страница №21 из 73:
Увеличить