Официальное опубликование правовых актов
ОФИЦИАЛЬНОЕ ОПУБЛИКОВАНИЕ
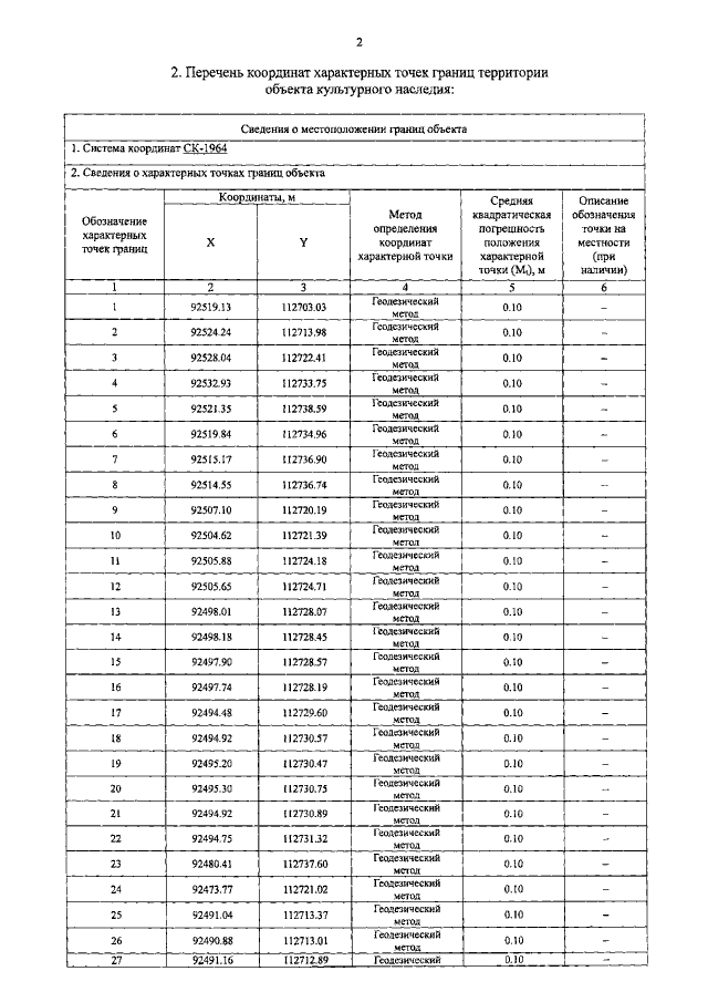
Распоряжение Комитета по государственному контролю, использованию и охране памятников истории и культуры Санкт-Петербурга от 15.03.2022 № 186-рп
"Об утверждении границ и режима использования территории объекта культурного наследия регионального значения "Дом, где с 1886 г. жил и в 1890 г. умер создатель первого в мире самолета Можайский А.Ф."
Номер опубликования: 7801202203240005
Дата опубликования: 24.03.2022
Страница №4 из 6:
Увеличить