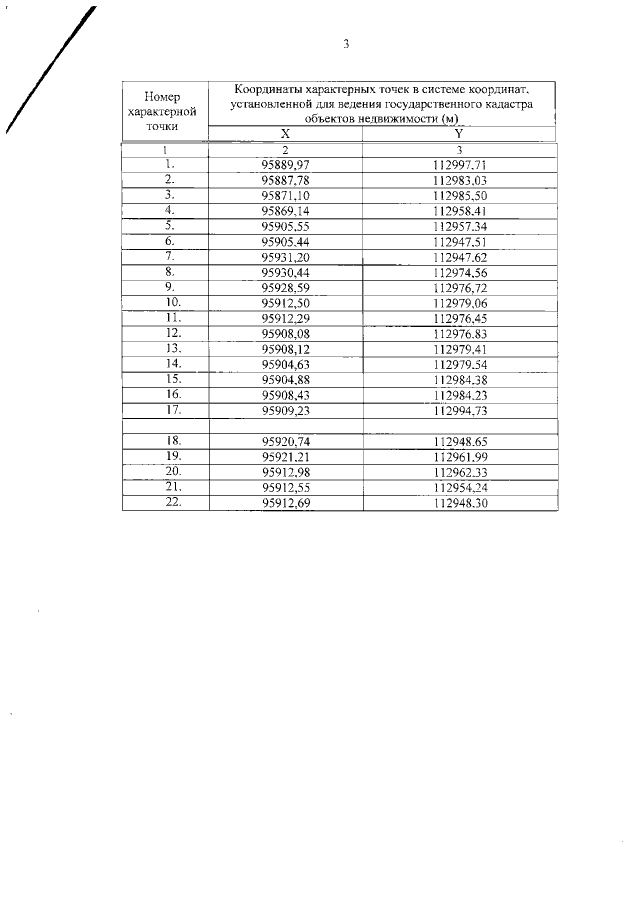
Распоряжение Комитета по государственному контролю, использованию и охране памятников истории и культуры Санкт-Петербурга от 28.09.2021 № 232-рп
"О внесении изменений в распоряжение КГИОП от 02.11.2018 № 449-р"
"О внесении изменений в распоряжение КГИОП от 02.11.2018 № 449-р"
Номер опубликования: 7801202110010004
Дата опубликования:
01.10.2021
