Распоряжение Комитета по государственному контролю, использованию и охране памятников истории и культуры Санкт-Петербурга от 09.06.2021 № 40-рп
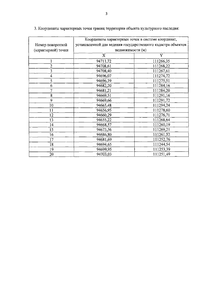
"О включении выявленного объекта культурного наследия в единый государственный реестр объектов культурного наследия (памятников истории и культуры) народов Российской Федерации в качестве объекта культурного наследия регионального значения "Дом В.И. Упатчева, А.И. Шульгина и И.Н. Реутова (Рабочего жилищного строительного кооперативного товарищества Металлостроя)", об утверждении границ и режима использования территории объекта культурного наследия"
"О включении выявленного объекта культурного наследия в единый государственный реестр объектов культурного наследия (памятников истории и культуры) народов Российской Федерации в качестве объекта культурного наследия регионального значения "Дом В.И. Упатчева, А.И. Шульгина и И.Н. Реутова (Рабочего жилищного строительного кооперативного товарищества Металлостроя)", об утверждении границ и режима использования территории объекта культурного наследия"
Номер опубликования: 7801202106170003
Дата опубликования:
17.06.2021
