Официальное опубликование правовых актов
ОФИЦИАЛЬНОЕ ОПУБЛИКОВАНИЕ
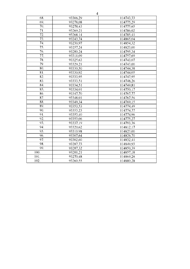
Распоряжение Комитета по государственному контролю, использованию и охране памятников истории и культуры Санкт-Петербурга от 21.05.2019 № 258-р
"Об утверждении границ и режима использования территории объекта культурного наследия регионального значения "Министерство финансов"
Номер опубликования: 7801201905300004
Дата опубликования: 30.05.2019
Страница №6 из 7:
Увеличить