Распоряжение Комитета по государственному контролю, использованию и охране памятников истории и культуры Санкт-Петербурга от 21.05.2019 № 256-р
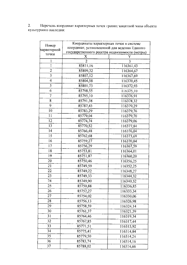
"Об установлении границ защитной зоны объекта культурного наследия регионального значения "ДОТ № 24 рубежа "Ижора", входящего в состав ансамбля "Комплекс фортификационных и оборонительных сооружений Ленинграда 1920-х - 1940-х годов", на расстоянии, отличном от расстояний, предусмотренных пунктами 3 и 4 статьи 34.1 Федерального закона от 25.06.2002 № 73-ФЗ "Об объектах культурного наследия (памятниках истории и культуры) народов Российской Федерации"
"Об установлении границ защитной зоны объекта культурного наследия регионального значения "ДОТ № 24 рубежа "Ижора", входящего в состав ансамбля "Комплекс фортификационных и оборонительных сооружений Ленинграда 1920-х - 1940-х годов", на расстоянии, отличном от расстояний, предусмотренных пунктами 3 и 4 статьи 34.1 Федерального закона от 25.06.2002 № 73-ФЗ "Об объектах культурного наследия (памятниках истории и культуры) народов Российской Федерации"
Номер опубликования: 7801201905300001
Дата опубликования:
30.05.2019
