Официальное опубликование правовых актов
ОФИЦИАЛЬНОЕ ОПУБЛИКОВАНИЕ
Распоряжение Жилищного комитета Санкт-Петербурга от 08.05.2019 № 795-р
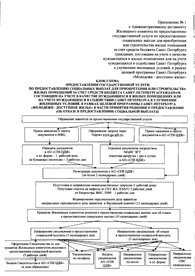
"Об утверждении Административного регламента Жилищного комитета по предоставлению государственной услуги по предоставлению социальных выплат для приобретения или строительства жилых помещений за счет средств бюджета Санкт-Петербурга гражданам, состоящим на учете в качестве нуждающихся в жилых помещениях или на учете нуждающихся в содействии Санкт-Петербурга в улучшении жилищных условий, в рамках целевой программы Санкт-Петербурга "Молодежи – доступное жилье"
Номер опубликования: 7801201905160004
Дата опубликования: 16.05.2019
Страница №42 из 57:
Увеличить