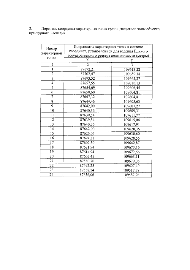
Распоряжение Комитета по государственному контролю, использованию и охране памятников истории и культуры Санкт-Петербурга от 13.03.2019 № 113-р
"Об установлении границ защитной зоны объекта культурного наследия регионального значения "Фабрика-кухня Путиловской верфи" на расстоянии, отличном от расстояний, предусмотренных пунктами 3 и 4 статьи 34.1 Федерального закона от 25.06.2002 № 73-ФЗ "Об объектах культурного наследия (памятниках истории и культуры) народов Российской Федерации""
"Об установлении границ защитной зоны объекта культурного наследия регионального значения "Фабрика-кухня Путиловской верфи" на расстоянии, отличном от расстояний, предусмотренных пунктами 3 и 4 статьи 34.1 Федерального закона от 25.06.2002 № 73-ФЗ "Об объектах культурного наследия (памятниках истории и культуры) народов Российской Федерации""
Номер опубликования: 7801201903200005
Дата опубликования:
20.03.2019
