Официальное опубликование правовых актов
ОФИЦИАЛЬНОЕ ОПУБЛИКОВАНИЕ
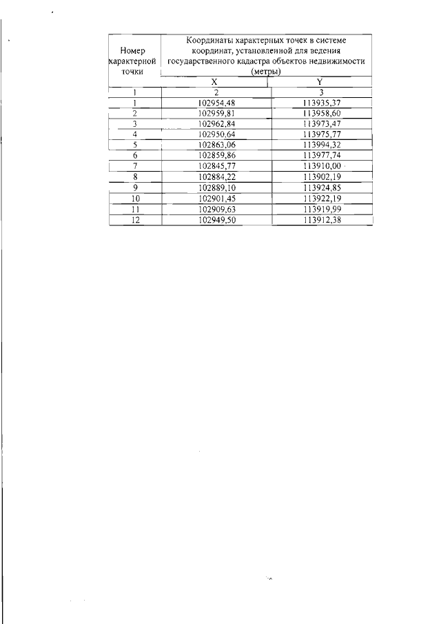
Распоряжение Комитета по государственному контролю, использованию и охране памятников истории и культуры Санкт-Петербурга от 15.01.2019 № 20-р
"Об установлении границ защитной зоны объекта культурного наследия регионального значения "Здание бань (с оградой)" на расстоянии, отличном от расстояний, предусмотренных пунктами 3 и 4 статьи 34.1 Федерального закона "Об объектах культурного наследия (памятниках истории и культуры) народов Российской Федерации"
Номер опубликования: 7801201901180013
Дата опубликования: 18.01.2019
Страница №4 из 4:
Увеличить