Официальное опубликование правовых актов
ОФИЦИАЛЬНОЕ ОПУБЛИКОВАНИЕ
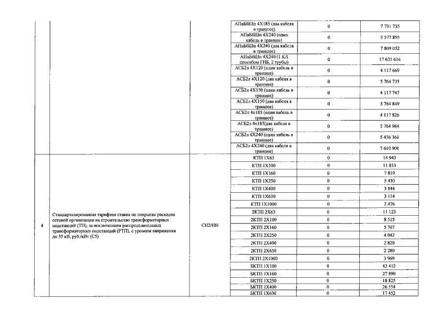
Распоряжение Комитета по тарифам Санкт-Петербурга от 27.12.2018 № 299-р
"Об установлении стандартизированных тарифных ставок, ставок за единицу максимальной мощности, формул для расчета платы за технологическое присоединение к электрическим сетям территориальных сетевых организаций на территории Санкт-Петербурга на 2019 год"
Номер опубликования: 7801201812290036
Дата опубликования: 29.12.2018
Страница №10 из 13:
Увеличить